基于CIEDE 2000的陶瓷砖小色差检测研究
时间:12-09
来源:互联网
点击:
由于生产工艺及操作条件等原因,陶瓷砖的色差是不可避免的。为了解决这个问题,生产厂家采取同一种颜色的制品分成几类,颜色接近的放归一类的办法。例如,同是棕色,但颜色深浅不等,分为A、B、C类。该过程是通过专用仪器将被测定的试样与标准试样进行色度比较、计算色差、以确定颜色匹配的可接受性。用于颜色测量的仪器为反射光谱光度计或三刺激值式色度计。而目前行业采用的计算色差的颜色空间多为1976年的YUV颜色空间和LAB颜色空间或者CMC色差公式。为判定可接受性,应选择有关各方达成的“宽容度”。当被测试样与参照标准试样间计算的ΔE值与该宽容度相比时,即可确定被测试样与参照标准试样间是否是可接受的匹配。与参照标准试样相比较,被测试样包括两类:其ΔE值小于或等于达成的宽容度,则为可接受(合格);其ΔE值大于达成的宽容度,则为不可接受(不合格)。因此,对于色差要求严格的产品,尤其需要均匀的颜色空间及计算准确的色差公式。CIEDE 2000色差公式在理论上是目前和人的视觉最能够相匹配的公式,因此本文采用CIEDE 2000色差公式对陶瓷砖进行小色差的检测研究。
1 颜色空间转换
RGB值是相机获得的第一数据,然而由于RGB颜色空间的不均匀性需要进行颜色空间的转换。本文将RGB颜色空间转换到CIELAB颜色空间。CIELAB颜色空间是CIE1976LAB颜色空间的缩写,在许多参考文献中,也称CIE1976L*a*b*(简写为CIEL*a*b*)颜色空间,或者称为CIELAB/CIEL A B色差制(CIELAB color difference metric)。
CIE1976LAB颜色空间是一种均匀的颜色空间,它能够比较准确地求出符合人眼视觉的差别。在许多行业中,基于CIE1976LAB颜色空间的色差公式已经被定为标准。CIE1976LAB颜色空间如图1所示。

使用CIELAB颜色空间时,光亮度、色调及饱和度都能够独立调整。CIELAB使用L*、a*和b*坐标轴定义CIE颜色空间。其中,L*值代表光亮度,其值从0(黑色)~100(白色)。a*和b*代表色度坐标,其中,a*代表红-绿轴,b*代表黄-蓝轴,它们的值从0"10。a*=b*=0表示无色,因此L*就代表从黑到白的比例系数。
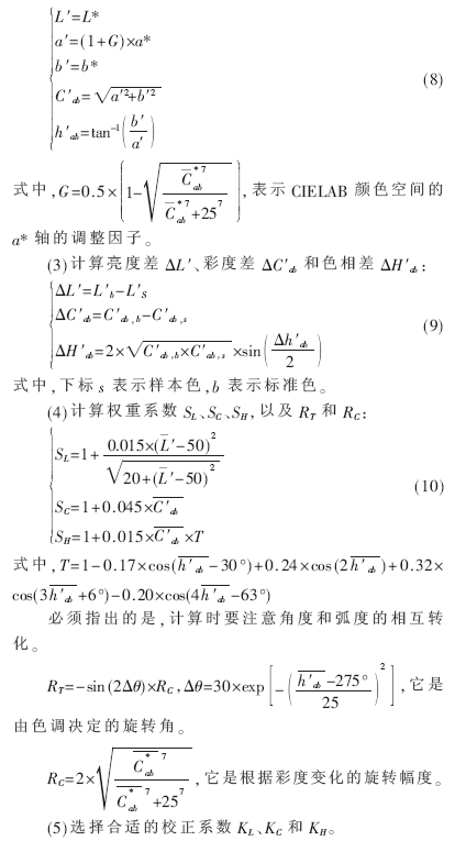
从RGB颜色空间到CIELAB颜色空间的转换要先转换到CIE1931XYZ颜色空间,计算出三基色的刺激值X、Y、Z。此变换是一个线性变换,通过一个3×3的矩阵实现:

Xn、Yn和Zn是CIE标准光源的坐标,是三刺激值。本文采用D65标准光源漫反射,在2°视场下观测。此时的三刺激值分别为Xn=95.047,Yn=100.00,Zn=108.883。
2 CIEDE2000色差公式
CIEDE2000色差公式:


在CIE给定的标准观测条件下,KL=KC=KH=1。在条件不符合时,则要根据工业色差评估条件来确定这些数值。本文的观测条件符合CIE给定的标准,因此KL、KC、KH的取值均为1。
(6)用CIEDE2000色差公式计算色差ΔE2000。
3 陶瓷砖的小色差检测
根据计算机视觉的原理,所设计瓷砖色差检测装置如图2所示。

选择合适的相机和光源对小色差检测尤其重要。本文选用微视MVC1000SAM/C-GE30摄像机,采用的是10 bit、逐行扫描的CMOS传感器。微视MVC1000SAM/C-GE30摄像机通过一个千兆网口控制拍摄,在拍摄和传输图像方面具有很好的实时性。在光源方面,采用LED面光源,倾斜60°角,以避免瓷砖反光产生过爆。
瓷砖颜色繁多,每种颜色的检测都必须找一块符合要求的标准砖。每次检测色差,都用摄像机拍摄样本和标准砖的图像存入计算机。然后采用3×3均值滤波去掉噪声干扰,进行颜色空间转换(即RGB颜色空间转化到CIELAB颜色空间),进而计算出整块瓷砖的平均L*、a*和b*值,最后利用CIEDE 2000色差公式计算色差。其检测流程图如图3所示。

本文采用白色陶瓷砖进行色差检测试验,实验共用了20块待测样本砖和1块标准砖。其中10块是符合要求的瓷砖,另外10块是存在微小颜色偏差的瓷砖。
摄像机拍摄图片后通过千兆网口传送给PC机,在PC机上用VC++6.0编写的图像处理软件实现均值滤波、颜色空间转换,并最终实现CIEDE 2000色差计算。实验数据如图4所示。从图4(c)可以清楚地看到,两种样本陶瓷砖与标准瓷砖色差值的大小差异,因此可以得出结论:采用目前最均匀的色差公式CIEDE 2000,可以有效地针对小色差进行检测。

综上所述,采用目前和人的视觉最能够相匹配的CIEDE 2000色差公式,针对小色差进行检测是一种比较有效的方法,此方法值得在陶瓷业色差检测中应用以及在其他类似行业中推广。
1 颜色空间转换
RGB值是相机获得的第一数据,然而由于RGB颜色空间的不均匀性需要进行颜色空间的转换。本文将RGB颜色空间转换到CIELAB颜色空间。CIELAB颜色空间是CIE1976LAB颜色空间的缩写,在许多参考文献中,也称CIE1976L*a*b*(简写为CIEL*a*b*)颜色空间,或者称为CIELAB/CIEL A B色差制(CIELAB color difference metric)。
CIE1976LAB颜色空间是一种均匀的颜色空间,它能够比较准确地求出符合人眼视觉的差别。在许多行业中,基于CIE1976LAB颜色空间的色差公式已经被定为标准。CIE1976LAB颜色空间如图1所示。

使用CIELAB颜色空间时,光亮度、色调及饱和度都能够独立调整。CIELAB使用L*、a*和b*坐标轴定义CIE颜色空间。其中,L*值代表光亮度,其值从0(黑色)~100(白色)。a*和b*代表色度坐标,其中,a*代表红-绿轴,b*代表黄-蓝轴,它们的值从0"10。a*=b*=0表示无色,因此L*就代表从黑到白的比例系数。
从RGB颜色空间到CIELAB颜色空间的转换要先转换到CIE1931XYZ颜色空间,计算出三基色的刺激值X、Y、Z。此变换是一个线性变换,通过一个3×3的矩阵实现:

Xn、Yn和Zn是CIE标准光源的坐标,是三刺激值。本文采用D65标准光源漫反射,在2°视场下观测。此时的三刺激值分别为Xn=95.047,Yn=100.00,Zn=108.883。
2 CIEDE2000色差公式
CIEDE2000色差公式:


在CIE给定的标准观测条件下,KL=KC=KH=1。在条件不符合时,则要根据工业色差评估条件来确定这些数值。本文的观测条件符合CIE给定的标准,因此KL、KC、KH的取值均为1。
(6)用CIEDE2000色差公式计算色差ΔE2000。
3 陶瓷砖的小色差检测
根据计算机视觉的原理,所设计瓷砖色差检测装置如图2所示。

选择合适的相机和光源对小色差检测尤其重要。本文选用微视MVC1000SAM/C-GE30摄像机,采用的是10 bit、逐行扫描的CMOS传感器。微视MVC1000SAM/C-GE30摄像机通过一个千兆网口控制拍摄,在拍摄和传输图像方面具有很好的实时性。在光源方面,采用LED面光源,倾斜60°角,以避免瓷砖反光产生过爆。
瓷砖颜色繁多,每种颜色的检测都必须找一块符合要求的标准砖。每次检测色差,都用摄像机拍摄样本和标准砖的图像存入计算机。然后采用3×3均值滤波去掉噪声干扰,进行颜色空间转换(即RGB颜色空间转化到CIELAB颜色空间),进而计算出整块瓷砖的平均L*、a*和b*值,最后利用CIEDE 2000色差公式计算色差。其检测流程图如图3所示。

本文采用白色陶瓷砖进行色差检测试验,实验共用了20块待测样本砖和1块标准砖。其中10块是符合要求的瓷砖,另外10块是存在微小颜色偏差的瓷砖。
摄像机拍摄图片后通过千兆网口传送给PC机,在PC机上用VC++6.0编写的图像处理软件实现均值滤波、颜色空间转换,并最终实现CIEDE 2000色差计算。实验数据如图4所示。从图4(c)可以清楚地看到,两种样本陶瓷砖与标准瓷砖色差值的大小差异,因此可以得出结论:采用目前最均匀的色差公式CIEDE 2000,可以有效地针对小色差进行检测。

综上所述,采用目前和人的视觉最能够相匹配的CIEDE 2000色差公式,针对小色差进行检测是一种比较有效的方法,此方法值得在陶瓷业色差检测中应用以及在其他类似行业中推广。
- 卫星电源分系统可靠性设计与研究(02-12)
- 新型锁相环芯片全面提升红外无线麦克风产品性能(05-04)
- 基于EPA与IEEE802.15.4两用手抄器的设计(06-01)
- 提高实时系统数据采集质量的研究(04-09)
- ARM在数字化远程视频监控系统的应用(05-20)
- 2009视频监控:网络化及其推动的几大趋势(06-03)
