电压空间矢量研究及Matlab仿真
时间:12-07
来源:互联网
点击:
近年来,电机的空间矢量理论被引入到逆变器及其控制中,形成和发展了空间矢量PWM(SVPWM)控制思想。其原理就是利用逆变器各桥臂开关控制信号的不同组合,使逆变器输出电压空间矢量的运行轨迹尽可能接近圆形。空间矢量脉宽调制技术,不仅使电机脉动降低,电流波形畸变减小,且与常规正弦脉宽调制(SP-WM)技术相比,直流电压利用率有很大提高,并更易于数字化实现。

1 电压空间矢量调制(SVPWM)算法
SVPWM是以磁链跟踪控制为目标,使逆变器瞬时输出三相脉冲电压合成的空间电压矢量与期望输出三相正弦波电压合成的空间电压矢量相等。对于三相电压型逆变器而言,它有8种工作状态,用矢量表示这8种空间状态,如图1所示。
介绍SVPWM工作原理的相关文献很多,这里不再细述,以下给出算法步骤:
(1)判断参考电压矢量Vref所在扇区
引入三个中间变量A,B,C:


则扇区号:S=A+2B+4C。
(2)计算扇区的有效电压空间矢量和零矢量的作用时间Tx,Ty和T0
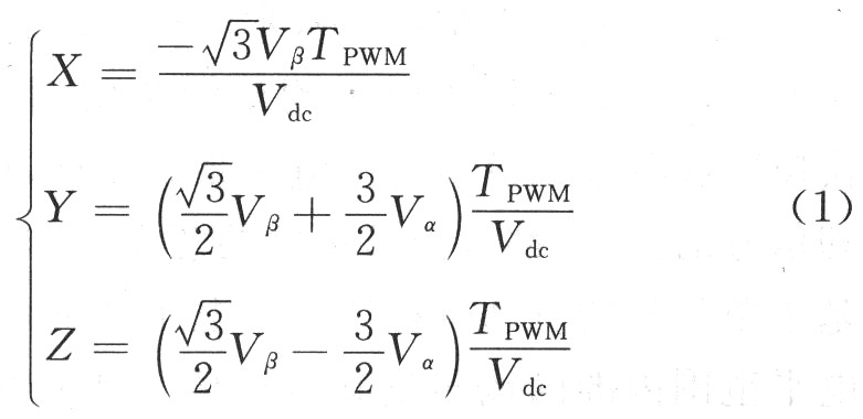
引入三个中间变量X,Y和Z:

对于不同的扇区,Tx,Ty按表1取值。
饱和判断:Tyout。


计算零电压矢量作用时间:T0=TPWM-Tx-Ty。

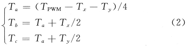
(3)开关切换时间分配
先定义空间矢量切换点分别为:

则根据空间矢量所处的扇区不同,晶体管的切换时间Tcm1,Tcm2,Tcm3分别如表2所示。

Simulink仿真环境下可以方便地利用模块和软件编程扩展进行仿真。根据上述实现方法,构造了如图2所示的Simulink仿真模型。

在模型中使用Repeating Sequence模块作为双向定时计数器,与SVPWM调制波进行比较,其输出作为滞环比较器的输入。Matlab语言编写的S函数则作为比较值的计算与分配单元。
2 仿真与分析
仿真对象:SVPWM与永磁同步电机。通过Matlab仿真得到的波形如图3所示。

3 结 语
通过仿真研究,SVPWM矢量控制变频调速系统的结构简单,容易实现数字化。扇区判断正确,占空比对应的时间准确,转矩输出波形较平稳。其逆变器直流电压利用率比用SPWM高,谐波成分小,采用矢量控制技术的电机调速系统动静态性能非常优良。

1 电压空间矢量调制(SVPWM)算法
SVPWM是以磁链跟踪控制为目标,使逆变器瞬时输出三相脉冲电压合成的空间电压矢量与期望输出三相正弦波电压合成的空间电压矢量相等。对于三相电压型逆变器而言,它有8种工作状态,用矢量表示这8种空间状态,如图1所示。
介绍SVPWM工作原理的相关文献很多,这里不再细述,以下给出算法步骤:
(1)判断参考电压矢量Vref所在扇区
引入三个中间变量A,B,C:


则扇区号:S=A+2B+4C。
(2)计算扇区的有效电压空间矢量和零矢量的作用时间Tx,Ty和T0
引入三个中间变量X,Y和Z:

对于不同的扇区,Tx,Ty按表1取值。
饱和判断:Tyout。


计算零电压矢量作用时间:T0=TPWM-Tx-Ty。

(3)开关切换时间分配
先定义空间矢量切换点分别为:

则根据空间矢量所处的扇区不同,晶体管的切换时间Tcm1,Tcm2,Tcm3分别如表2所示。

Simulink仿真环境下可以方便地利用模块和软件编程扩展进行仿真。根据上述实现方法,构造了如图2所示的Simulink仿真模型。

在模型中使用Repeating Sequence模块作为双向定时计数器,与SVPWM调制波进行比较,其输出作为滞环比较器的输入。Matlab语言编写的S函数则作为比较值的计算与分配单元。
2 仿真与分析
仿真对象:SVPWM与永磁同步电机。通过Matlab仿真得到的波形如图3所示。

3 结 语
通过仿真研究,SVPWM矢量控制变频调速系统的结构简单,容易实现数字化。扇区判断正确,占空比对应的时间准确,转矩输出波形较平稳。其逆变器直流电压利用率比用SPWM高,谐波成分小,采用矢量控制技术的电机调速系统动静态性能非常优良。
- 基于DSP的工业缝纫机控制系统设计(09-23)
- 高效的500W太阳能逆变器设计(12-22)
- 直面风力发电设计挑战(12-22)
- 一种变频调速系统的SVPWM控制设计(02-03)
- 基于FPGA的SPWM变频系统设计(03-05)
- 永磁同步直线电机硬件在环实时仿真平台(05-11)
