变形耦合发电机混沌系统的追踪控制研究
时间:12-07
来源:互联网
点击:
混沌系统的控制和同步是当前自然科学基础研究的热门课题,它在通信、信息科学、医学、生物、工程等领域得到了广泛的应用,各种控制和同步方法也应运而生。在混沌控制研究中,追踪问题是研究的一个热点。追踪问题即通过施加控制使受控系统的输出信号达到事先给定的参考信号,更具有一般性。特别是,如果追踪的参考信号是由混沌系统产生的,这种追踪控制便演化成为驱动系统和响应系统的同步,它包括自同步和异结构同步,这方面的工作已经有了许多研究。电网之间的互联是现代电力系统发展的必然趋势,它将使电网的发电和输电变得更经济、更高效。与此同时,电力系统运行的稳定性受到前所未有的挑战。随着分岔、混沌理论在电力系统非线性动力学行为研究中的应用,人们发现电力系统中除了低频振荡外,还存在混沌振荡。这种振荡不仅对系统的稳定具有极强的破坏力,而且不能依靠附加传统的励磁控制器来抑制或消除。自20世纪90年代以来,国内外许多研究人员对电力系统的分岔、混沌振荡产生机理进行了充分、有益的探讨,但对电力系统混沌控制方法的研究尚属少见。在此针对变形耦合发电机昆沌系统的结构特点,并基于非线性系统的线性化稳定理论,设计了一个统一形式的非线性追踪控制器,可以实现变形耦合发电机系统的状态变量与任意给定参考信号的广义同步。该控制器简单、易于实现。
1 系统模型
耦合发电机系统由一个具有混沌特征的三维自治方程组来描述,它是由连接在一起的2台发电机组成,其中任何一台发电机都处于另一台发电机产生的电流所形成的磁场之中。文献在基于耦合发电机系统的基础上,给出了变形耦合发电机系统:

式(1)中,u和a是正的控制参数,当u=2和a=1时系统出现混沌行为。图1所示为系统1的典型混沌吸引子。由图可见,系统1的混沌吸引子除具有低维混沌吸引子的一般特点外,还具有其独特之处;吸引子的二维投影具有更复杂的折叠和拉伸轨线。这说明系统1在局部上比低维混沌系统具有更强的不稳定性。这使得对系统1的控制难度大大增加。

2 控制器的设计
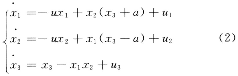
对系统1施加控制,使系统的状态变量xi(i=1,2,3)追踪给定参考信号,受控后的系统方程为:

不论参考信号的形式如何,设计如下统一形式的控制器:

式中,r1,r2,r3为给定参考信号。
定理 对于受控系统2,当采用式(3)所示的控制器时,系统状态变量xi(i=1,2,3)可以追踪任意连续可微的参考信号ri(i=1,2,3)。
证明 设追踪误差变量为ei=xi一ri(i=1,2,3),结合式(2)和式(3),可得追踪误差系统为:

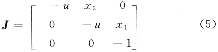
式(4)的平衡点为(0,O,O)。由式(4)可知,误差变量的零点即为误差系统的平衡点。式(4)在平衡点处的Ja—cobian阵为:

特征方程为:(λ+u)(λ+u)(λ+1)=O,可解得矩阵J的特征根为λ1=一u,λ2=一u,λ2=一l,由于参数“为正,所以矩阵J的所有特征根均为负数。由非线性系统的线性化稳定理论,误差系统的零解渐近稳定。即lim|ei|=0。
3 数值仿真
3.1 追踪常值信号
系统1有5个平衡点,分别为S0(0,0,0),S1(1.175 6,一1.902 1,一2.236 1),S2(一1.175 6,1.902 1,一2.236 1),S3,4(±1.902 1,±1.175 6,2.236 1)。取参考信号为系统平衡点S1,即r1=1.175 6,r2=一1.902 1,r3=一2.236 1。由式(3)得控制器为:

采用四阶龙格库塔法进行数值仿真,系统2的初值为(0.02,0.006,O.001),仿真步长为0.01,仿真结果如图2所示。由图可知,系统变量x(t)经6 s后追踪上给定的常值参考信号,广义同步误差稳定在零值处。

3.2 追踪周期信号
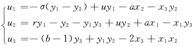
取参考信号为正弦周期信号r1=sin 4t,r2=cos 2t,r3=sin t,此时控制器为:

同样采用四阶龙格库塔法进行数值仿真,系统2的初值为(O.02,O.006,O.001),仿真步长为0.01,仿真结果如图3所示。由图可知,变量x1(t),x2(t)和x3(t)在2 s前追踪上参考信号,而广义同步误差e(t)稳定在零值附近。

3.3 追踪混沌信号
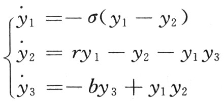
Lorenz系统是一个典型的混沌系统,其系统方程为:


系统2的初值为(O.02,0.006,O.001),Lorenz系统的初值为(O.2,O.07,0.1),仿真步长为0.01,仿真结果如图4所示。由图可知,变量x1(t),x2(t)和x3(t)在7 s前追踪上参考信号,广义同步误差e(t)稳定在零值处。

4 结 语
针对变形耦合发电机混沌系统的结构特点,并基于非线性系统的线性化稳定理论,设计了一个统一形式的非线性追踪控制器。该控制器可以实现变形耦合发电机系统的状态变量与任意给定参考信号的广义同步,分别以常值信号,周期信号和混沌信号为参考信息进行了数值仿真,仿真结果与理论分析一致。设计的控制器使用范围很广,在控制混沌和利用混沌系统进行数字保密通信方面有很广的应用前景。
1 系统模型
耦合发电机系统由一个具有混沌特征的三维自治方程组来描述,它是由连接在一起的2台发电机组成,其中任何一台发电机都处于另一台发电机产生的电流所形成的磁场之中。文献在基于耦合发电机系统的基础上,给出了变形耦合发电机系统:

式(1)中,u和a是正的控制参数,当u=2和a=1时系统出现混沌行为。图1所示为系统1的典型混沌吸引子。由图可见,系统1的混沌吸引子除具有低维混沌吸引子的一般特点外,还具有其独特之处;吸引子的二维投影具有更复杂的折叠和拉伸轨线。这说明系统1在局部上比低维混沌系统具有更强的不稳定性。这使得对系统1的控制难度大大增加。

2 控制器的设计
对系统1施加控制,使系统的状态变量xi(i=1,2,3)追踪给定参考信号,受控后的系统方程为:

不论参考信号的形式如何,设计如下统一形式的控制器:

式中,r1,r2,r3为给定参考信号。
定理 对于受控系统2,当采用式(3)所示的控制器时,系统状态变量xi(i=1,2,3)可以追踪任意连续可微的参考信号ri(i=1,2,3)。
证明 设追踪误差变量为ei=xi一ri(i=1,2,3),结合式(2)和式(3),可得追踪误差系统为:

式(4)的平衡点为(0,O,O)。由式(4)可知,误差变量的零点即为误差系统的平衡点。式(4)在平衡点处的Ja—cobian阵为:

特征方程为:(λ+u)(λ+u)(λ+1)=O,可解得矩阵J的特征根为λ1=一u,λ2=一u,λ2=一l,由于参数“为正,所以矩阵J的所有特征根均为负数。由非线性系统的线性化稳定理论,误差系统的零解渐近稳定。即lim|ei|=0。
3 数值仿真
3.1 追踪常值信号
系统1有5个平衡点,分别为S0(0,0,0),S1(1.175 6,一1.902 1,一2.236 1),S2(一1.175 6,1.902 1,一2.236 1),S3,4(±1.902 1,±1.175 6,2.236 1)。取参考信号为系统平衡点S1,即r1=1.175 6,r2=一1.902 1,r3=一2.236 1。由式(3)得控制器为:

采用四阶龙格库塔法进行数值仿真,系统2的初值为(0.02,0.006,O.001),仿真步长为0.01,仿真结果如图2所示。由图可知,系统变量x(t)经6 s后追踪上给定的常值参考信号,广义同步误差稳定在零值处。

3.2 追踪周期信号
取参考信号为正弦周期信号r1=sin 4t,r2=cos 2t,r3=sin t,此时控制器为:

同样采用四阶龙格库塔法进行数值仿真,系统2的初值为(O.02,O.006,O.001),仿真步长为0.01,仿真结果如图3所示。由图可知,变量x1(t),x2(t)和x3(t)在2 s前追踪上参考信号,而广义同步误差e(t)稳定在零值附近。

3.3 追踪混沌信号
Lorenz系统是一个典型的混沌系统,其系统方程为:


系统2的初值为(O.02,0.006,O.001),Lorenz系统的初值为(O.2,O.07,0.1),仿真步长为0.01,仿真结果如图4所示。由图可知,变量x1(t),x2(t)和x3(t)在7 s前追踪上参考信号,广义同步误差e(t)稳定在零值处。

4 结 语
针对变形耦合发电机混沌系统的结构特点,并基于非线性系统的线性化稳定理论,设计了一个统一形式的非线性追踪控制器。该控制器可以实现变形耦合发电机系统的状态变量与任意给定参考信号的广义同步,分别以常值信号,周期信号和混沌信号为参考信息进行了数值仿真,仿真结果与理论分析一致。设计的控制器使用范围很广,在控制混沌和利用混沌系统进行数字保密通信方面有很广的应用前景。
- 航天器DC/DC变换器的可靠性设计(02-12)
- 基于nRF2401智能小区无线抄表系统集中器设计(04-30)
- 卫星电源分系统可靠性设计与研究(02-12)
- 采用信号调理IC驱动应变片电桥传感器(05-26)
- 解密波音747飞机中的Sperry垂直陀螺仪(05-06)
- 安森美90W太阳能LED街灯高能效解决方案(05-18)
