异步电动机直接转矩控制离散系统建模和仿真
时间:12-06
来源:互联网
点击:
1985年,德国鲁尔大学教授Depenbrock和日本学者Takahashi提出了直接转矩控制理论,由于它直接控制定子磁链空间向量和电磁转矩,使得控制系统得以简化,并且提高了快速相应能力。直接转矩控制不仅拓宽了向量控制理论,同时促进了电机现代控制技术的进一步发展。
SIMUUNK是MATLAB提供用来对动态系统进行建模、仿真、分析的软件包。SIMULINK包含许多模块库,利用这些模块库可以很方便的进行复杂系统构建与仿真分析,为研究者提供了一个实用的仿真平台。本文对基于MATLAB/SIMULINK异步电动机的直接转矩控制离散系统仿真模型做出分析和介绍。
1 异步电机的数学模型
1.1 三相变两相的物理意义
原来匝数为W1的ABC三相绕组,用每相匝数为

且空间位置互差90°的X、Y两相绕组替代,其中X轴与A轴夹角为θ,在X轴上ix产生的磁势

应等于ABC三相电流产生的磁势在轴上的投影之和。
1.2 三相异步电机在α-β静止坐标系下的电压、磁链方程:
电机电压方程为:

则电压方程的矩阵形式为:

式中usα、usβ、isα、isβ分别是定子在α、β轴上电压、电流分量;urα、urβ、irα、irβ分别是转子在α、β轴上的电压、电流分量;ψsα、ψsβ、ψrα、ψrβ分别是定子、转子在α、β轴的磁链;Ls、Lr、Lm分别是定子绕组、转子绕组及电机励磁电感;P为微分算子;ωr是转子的角速度。
1.3 电机的转矩方程

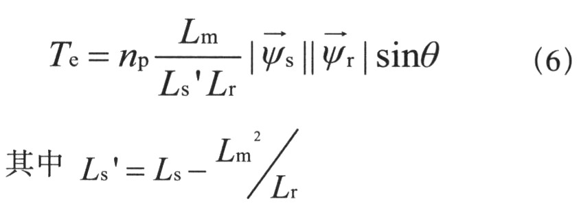
Te为电机的电磁转矩;np为电机的极对数。
1.4 电机的运动方程

TL为负载转矩;J为电机转子和系统的转动惯量。
根据异步电机的数学模型,利用SIMULINK的基本模块及电机模块搭建异步电机的仿真模型。
2 建立仿真模型
2.1 直接转矩控制基本原理
定子、转子磁链以及电磁转矩可表示为:

在直接转矩控制中,当定子磁链矢量ψs快速变化时,在很短暂时间内,可认为ψr不变,因此可以通过改变外加电压矢量快速改变ψs,使定子磁链幅值|ψs|保持不变,同时控制定子磁链和转子磁链的夹角θ,由式(6)可知,控制θ,实质上是控制电磁转矩,即实现了转矩的直接控制。
图1所示为直接转矩控制的系统框图,包括异步电机模型、转矩和磁链观测器,滞环比较器,开关矢量选择器和逆变器等部分。通过滞环比较得到调节信号,结合磁链位置信号SN和开关矢量选择表,查表获取此刻应作用于电机的电压矢量,从而实现电机的直接转矩控制。

2.2 开关电压矢量的合理选择
逆变器不同的开关状态可产生如图2中所示的u1~u6及u7,u8两个零矢量。基于便于控制的考虑,把定子磁链所在空间位置划分为①~⑥区间,总共六个扇区。


其中△ψ、△T的取值是根据滞环比较器的输出来确定,即有:若|ψs|≤|ψsref|-|△ψs|,则△ψ=l;若|ψs|≥|ψsref|—|△ψs|,则△ψ=一1;若|Tc|≤|Tcref|—|△Te|,则△T=1;若|Tc|≥Tcref,则△T=0,若|Tc|≥|Tcref|-|△Tc|,则△T=一1;若|Tc|≤Tcref,则△T=0。依据图4的磁链区间划分、推理和控制经验得到在磁链所在的区间的电压输出矢量表。

2.3 磁链观测的离散仿真模型
磁链观测采用定子磁链的u一i模型:

为了验证离散直接转矩控制的可行性,模型采用信号离散采样的方式,将电压、电流离散化,通过离散积分进行磁链观测。
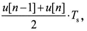
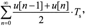
图5所示,假设t1时刻的函数值为u[n-1],t2时刻的函数值为u[n],且t1时刻和t2时刻的差Ts极度小,趋近于O,那么微元阴影部分的面积为

则整个函数与时间轴围成的面积为

即相当于函数U(t)关于时间t的积分。
离散定子磁链观测原理如下:
把定子电流、电压和磁链离散化,式(7)可写成下面的离散形式:


基于上面的推导就可以将通常的连续积分改为离散信号的积分,通过改变采样时间Ts来对磁链和转矩的估计精度进行调整。
3 仿真结果
设置电机的仿真参数,额定电压380V,额定功率为2.5kW,极对数np=2,rs=0.435Ω,rr=0.816Ω,Ls=0.006H,Lm=0.08931H,Lr=0.006H,转动惯量J=0.089kg.m2,转矩滞环宽度为lN.m,磁链滞环宽度为0.02wb。
4 结论
本文通过MaUab/simulink搭建出直接转矩控制离散仿真系统,并进行仿真研究,得出定子磁链、转矩、定子电流的波形(见图7~图9)。从仿真结果来看,图7的定子磁链轨迹近似为圆形,图9的定子电流近似为正弦波形,从而验证了此离散模型的正确性。直接转矩控制离散仿真系统为直接转矩控制系统仿真提供了一种新思路,是一种有益的探索。
SIMUUNK是MATLAB提供用来对动态系统进行建模、仿真、分析的软件包。SIMULINK包含许多模块库,利用这些模块库可以很方便的进行复杂系统构建与仿真分析,为研究者提供了一个实用的仿真平台。本文对基于MATLAB/SIMULINK异步电动机的直接转矩控制离散系统仿真模型做出分析和介绍。
1 异步电机的数学模型
1.1 三相变两相的物理意义
原来匝数为W1的ABC三相绕组,用每相匝数为

且空间位置互差90°的X、Y两相绕组替代,其中X轴与A轴夹角为θ,在X轴上ix产生的磁势

应等于ABC三相电流产生的磁势在轴上的投影之和。
1.2 三相异步电机在α-β静止坐标系下的电压、磁链方程:
电机电压方程为:

则电压方程的矩阵形式为:

式中usα、usβ、isα、isβ分别是定子在α、β轴上电压、电流分量;urα、urβ、irα、irβ分别是转子在α、β轴上的电压、电流分量;ψsα、ψsβ、ψrα、ψrβ分别是定子、转子在α、β轴的磁链;Ls、Lr、Lm分别是定子绕组、转子绕组及电机励磁电感;P为微分算子;ωr是转子的角速度。
1.3 电机的转矩方程

Te为电机的电磁转矩;np为电机的极对数。
1.4 电机的运动方程

TL为负载转矩;J为电机转子和系统的转动惯量。
根据异步电机的数学模型,利用SIMULINK的基本模块及电机模块搭建异步电机的仿真模型。
2 建立仿真模型
2.1 直接转矩控制基本原理
定子、转子磁链以及电磁转矩可表示为:

在直接转矩控制中,当定子磁链矢量ψs快速变化时,在很短暂时间内,可认为ψr不变,因此可以通过改变外加电压矢量快速改变ψs,使定子磁链幅值|ψs|保持不变,同时控制定子磁链和转子磁链的夹角θ,由式(6)可知,控制θ,实质上是控制电磁转矩,即实现了转矩的直接控制。
图1所示为直接转矩控制的系统框图,包括异步电机模型、转矩和磁链观测器,滞环比较器,开关矢量选择器和逆变器等部分。通过滞环比较得到调节信号,结合磁链位置信号SN和开关矢量选择表,查表获取此刻应作用于电机的电压矢量,从而实现电机的直接转矩控制。

2.2 开关电压矢量的合理选择
逆变器不同的开关状态可产生如图2中所示的u1~u6及u7,u8两个零矢量。基于便于控制的考虑,把定子磁链所在空间位置划分为①~⑥区间,总共六个扇区。


其中△ψ、△T的取值是根据滞环比较器的输出来确定,即有:若|ψs|≤|ψsref|-|△ψs|,则△ψ=l;若|ψs|≥|ψsref|—|△ψs|,则△ψ=一1;若|Tc|≤|Tcref|—|△Te|,则△T=1;若|Tc|≥Tcref,则△T=0,若|Tc|≥|Tcref|-|△Tc|,则△T=一1;若|Tc|≤Tcref,则△T=0。依据图4的磁链区间划分、推理和控制经验得到在磁链所在的区间的电压输出矢量表。

2.3 磁链观测的离散仿真模型
磁链观测采用定子磁链的u一i模型:

为了验证离散直接转矩控制的可行性,模型采用信号离散采样的方式,将电压、电流离散化,通过离散积分进行磁链观测。
图5所示,假设t1时刻的函数值为u[n-1],t2时刻的函数值为u[n],且t1时刻和t2时刻的差Ts极度小,趋近于O,那么微元阴影部分的面积为

则整个函数与时间轴围成的面积为

即相当于函数U(t)关于时间t的积分。
离散定子磁链观测原理如下:
把定子电流、电压和磁链离散化,式(7)可写成下面的离散形式:


基于上面的推导就可以将通常的连续积分改为离散信号的积分,通过改变采样时间Ts来对磁链和转矩的估计精度进行调整。
3 仿真结果
设置电机的仿真参数,额定电压380V,额定功率为2.5kW,极对数np=2,rs=0.435Ω,rr=0.816Ω,Ls=0.006H,Lm=0.08931H,Lr=0.006H,转动惯量J=0.089kg.m2,转矩滞环宽度为lN.m,磁链滞环宽度为0.02wb。
4 结论
本文通过MaUab/simulink搭建出直接转矩控制离散仿真系统,并进行仿真研究,得出定子磁链、转矩、定子电流的波形(见图7~图9)。从仿真结果来看,图7的定子磁链轨迹近似为圆形,图9的定子电流近似为正弦波形,从而验证了此离散模型的正确性。直接转矩控制离散仿真系统为直接转矩控制系统仿真提供了一种新思路,是一种有益的探索。
- ARM在数字化远程视频监控系统的应用(05-20)
- FPGA在弹上信息处理机中的应用(04-15)
- 与MSP430 USI端口配合使用ADS8361(06-18)
- 基于ARM的I2C设备控制方法的实现(06-11)
- 辰汉电子推出低成本快速量产视频监控方案+4路输入方案(06-24)
- 无线IP视频监控应用即将井喷,Blackfin助您赢得先机(07-23)
