电动机性能虚拟仪器测试系统的设计与实现
时间:12-04
来源:互联网
点击:
将现代虚拟仪器技术应用于电动机性能并测试领域,可充分发挥虚拟仪器技术开发效率高、灵活性和兼容性强以及可重用度高的特点。设计并实现了多路并行电动机的在线测试系统;使用PID控制算法控制定标参量,通过TCP/IP协议实现了测试数据的远程共享和用户对测试系统的远程操控。
随着计算机技术的飞速发展,计算机辅助测试(CAT)系统在电机行业得到了普及。现代虚拟仪器技术引入电动机测试领域后,通过虚拟仪器应用软件将计算机与标准化虚拟仪器硬件结合起来,实现了传统仪器功能的软件化与模块化,从而达到了自动测试与分析的目的,大大缩短了系统开发周期,降低了系统开发成本。
本文设计的电动机性能虚拟仪器测试系统采用Na—tional Instruments公司的LabVIEW和LabVIEW RT虚拟仪器软件平台以及与其配套的PCI、SCXI和compactFieldPoint(cFP)虚拟仪器硬件来完成。该系统实现了多路电动工具性能的并行测试;可自动完成电动工具负载控制以及对扭矩、转速、功率及机体温度的实时监控;并且通过TCP/IP协议实现了测试数据的远程共享和用户对测试系统的远程操控。
1 系统组成及工作原理
1.1 系统组成
电动机性能虚拟仪器测试系统主要由主控机、实时监控模块、测功机以及待测电机四部分组成,如图1所示。
主控机为一台工作站,用于提供图形化用户界面,完成对系统软硬件的配置和设置,并实时更新各指标参量对时间的波形显示和经曲线拟合后的电动机特性曲线,最后完成测试数据的记录工作。与此同时,主控机还通过嵌入式PCI数据采集卡完成对非控制参量(如输入电压和工作电流)的测量工作。

实时监控模块由两套cFP分布式I/O系统组成,通过TCP/IP协议与主控机通信,从主控机获得控制命令控制测功机,并将从测功机采集来的数据交由主控机处理。其中,模块A用于完成实时自动加载和控制指标参量的测量,并提供过载保护、紧急停车以及非法停机后的系统重建等应急措施;模块B用于对待测电机体表温度进行实时监测。
测功机有磁滞和磁粉两类,用于为待测电机提供负载,并由其内部的传感设备将待测电机在该负载下的扭矩、转速以及输出功率等待测指标参量转换为cFP实时监控模块A可以接收的电压信号。
1.2 工作原理
电动机性能虚拟仪器测试系统可在两种工作模式下运行:自动工作模式和手动工作模式。主要测试项目有:输入电压、输入电流、输入功率、扭矩、转速、输出功率、机体表面温度、机体内部温度等。
自动工作模式下,主控机首先等待用户完成软硬件的设置和配置,然后提请用户选择负载测试或定参数测试。负载测试下,用户需要设置负载曲线、负载时间、循环时间以及测试时间等测试参数;定参数测试下,用户可以选择指定扭矩、转速或者功率,并设置相应的定标参数、控制参数以及测试时间。完成以上步骤以后,就可以启动测试程序,测试系统即按照用户制定的负载自动加载,同时完成对待测电机的性能测试;或者通过一定的控制算法保持定标参数的稳定,并对该状态下的待测电机进行自动测试。系统运行的同时,用户可以在实时监测图表中观察各指标参量对时间的波形显示和经过曲线拟合后得到的电动机特性曲线,并可将感兴趣的图表导出存盘。当测试时间到时,系统自动终止测试。

手动工作模式下,系统工作原理与自动工作模式基本类似,只是系统不进行循环测试,而是提供一种交互式的测试环境;完成指定的测试项目后,等待用户的进一步操作。
2 硬件结构
电动机性能虚拟仪器测试系统硬件组成框图如图2所示。
2.1 主控机
主控机选用一台工作站,内嵌了一块PCI-6052多功能数据采集卡和一块PCI-4070高精度柔性数字万用表卡。PCI-6052多功能数据采集卡前置了两块SCXI—1120信号调理卡和配套的SCXI-1327衰减终端,用于采集多路待测电机工作电压和工作电流的输入信号;PCI-4070高精度柔性数字万用表卡前置了一块SCXI—1127多路开关卡和配套的SCXI—1331多路接线终端,用于扫描多路待测电机的转子绕组,并根据相应算法测得电机内部转子温度。
2.2 实时监控模块
实时监控模块选用cFP分布式I/O实时系统,该系统具有FIFO数据队列、断电数据缓存、看门狗状态监测等单元以及高抗冲击性和高抗扰性等特性,用于完成系统最核心的实时采集与控制功能。
采用cFP-2020作为实时系统控制器,支持Lab-VIEW RT实时模块,可脱离LabVIEW编程环境独立实时地运行下载到控制器存储器中的应用程序,并通过控制器内嵌的10/100Base TX以太网接口实现测试数据的网络共享。

cFP DI-330用于响应紧急停车开关、紧急关闭系统,防止意外事故的发生;cFP DO-403用于控制与各待测电机相连的固态继电器SSR,实现对工作电路的闭合或断开;cFP AO-210用于为测功机提供加载信号,控制待测电机所承受的负载,并在该负载下对电动机进行测试;cFP AI-210用于采集测功机输出的代表扭矩的电压信号,进而测量出待测电机实际的扭矩;cFP—CTR-502用于采集测功机输出的代表转速的TTL电平信号,进而测量出待测电机实际的转速。
2.3 实时测温模块
实时测温模块同样选用cFP分布式I/O实时系统。采用cFP-2020控制器,配以四块cFP TC—120 8通道热电偶模块,可直接用于测量标准J型热电偶,并提供相应的信号调理、输入噪声过滤、冷端补偿以及热电偶的温度的算法,用于在电动机工作端实施前端数据采样,并利用基于TCP/IP协议的分布式I/O的网络共享功能实现数据的远程共享。
2.4 测功机
测功机是根据作用力与反作用力平衡的原理设计的。当被测电机旋转带动测功机的转子旋转时,测功机转子切割磁力线产生电枢电流,并和磁通相互作用产生制动扭矩;同时测功机定子受到一个相反方向的扭矩作用,在测功机传感器轴上产生压应力,通过在传感器轴上粘贴电阻应变片,再将应变片接入一定的桥式电路就能将压应力的变化转化为电压信号,从而测量出扭矩的大小。
电机转速的测量使用光电式转速传感器。在电机轴上装一个边缘有N个均匀分布锯齿的圆盘,使光线投射到光敏管上,当电机转动一周,就得到N个脉冲信号,测量脉冲信号的频率或周期,就可得到电机的转速。
这里使用了磁滞和磁粉两种类型的测功机。磁滞测功机扭矩测量范围相对较小,最大扭矩为10N.m,但转速较大,最大转速为12000rpm;磁粉测功机扭矩测量范围较大,最大扭矩为20N.m,但转速测量范围较小,最大转速为4000rpm。两种类型的测功机互为补充,可适用于多种类型的电动机性能测试。
2.5 控制机柜
控制机柜主要由控制开关、开关电源、滤波器以及连接线路组成,为各路传感模块提供相应的多路接口,使之与待测电机连接,并提供安全的系统供电、激励注入、信号隔离、幅度调节以及风冷控制等辅助功能,为整个电动机测试系统提供强电支持及系统应急措施。
3 软件结构及算法
3.1 软件结构
电动机性能虚拟仪器测试系统总体采用一种基于TCP/IP协议的客户机/服务器(CS)结构。服务器架构为cFP分布式I/O体系,利用其内嵌的独立式实时系统实现目标参量的信号采样,并完成对目标参量的实时监测和控制;客户机则采用通用的PC机结构,借助TCP/IP协议实现与服务器之间控制参量及检测数据的通信,并提供GUI图形化用户界面,实现人机交互,完成控制参数的输入以及检测数据的分析、运算和图表显示。
其软件结构框图如图3所示。系统操作流程为:上电后服务器自动启动存储器中内建的LabVIEW RT实时程序,并实时侦听客户机“开始测试”的命令;客户机开机运行电动机性能虚拟仪器测试主程序,完成用户登录、硬件配置、选择测试项目、设置测试参数后,启动测试程序;服务器侦听到客户端“开始测试”命令后,按照客户制定的硬件配置、测试项目以及测试参数开始实时控制及数据采集,并通过TCP/IP协议将实验数据发送给客户机;客户机发出PID控制命令,并对服务器发送的实验数据进行分析处理,完成PID控制后,按照测试项目进行测试,分析处理测试数据,并以图表方式显示实验结果;完成测试后,客户机发出结束测试的命令,经服务器接收确认后,结束测试。
3.2 PID控制算法
本系统试验了位置式、增量式和积分分离式三种PID控制算法。
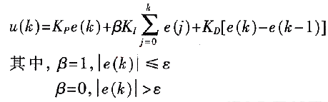
3.2.1 位置式控制算法
位置式PID控制算法描述为:

其中,k=0,1,2……为采样序号;u(k)为第k次采样时刻的计算机输出值;e(k)为第k次采样时刻输入的偏差值;置KI=KpT/TI为积分系数;KD=KpTD/T为微分系数;Kp为比例系数;TI为积分时间常数;TD为微分时间常数;T为采样周期。
该算法的优点是原理简单、易于实现;缺点是每次输出均与先前状态有关,要对e(k)进行累加,运算工作量大,而且输出的u(k)对应的是执行机构的实际位置,如计算机出现故障,u(k)的大幅度变化会引起执行机构位置的大幅度变化。
3.2.2 增量式控制算法
增量式PID控制算法描述为:
△u(k)=Kp△e(k)+KIe(k)+KD△e(k)-△e(k-1)]其中,△e(k)=e(k)-e(k-1)。
该算法的优点是:由于计算机输出增量,误动作时影响小;当计算机发生故障时,由于输出通道或执行装置具有信号锁存作用,故仍能保持原值。控制增量△u(k)的确定仅与最近k次的采样值有关,易通过加权处理而获得较好的控制效果。其不足之处为:积分截断效应大、有静态误差、溢出的影响大。
3.2.3 积分分离式控制算法
积分分离PID控制算法描述为:

当|e(k)|>ε时,即偏差值|e(k)|比较大时,采用PD控制,可避免过大的超调,又使系统有较快的响应。
当|e(k)|≤ε时,即偏差值|e(k)|比较小时,采用PID控制,可保证系统的控制精度。
图4所示为三种PID控制算法的阶跃响应曲线。经过试验比较,采用积分分离式PID控制算法将过渡过程时间由位置式的19.5s和增量式的16s缩短为12s;最大超调量由位置式的36%和增量式的25%缩小为18%,具有超调小、响应速度快、稳定性能好、遇干扰回复能力强的特点。
4 性能评估
该电动机性能虚拟仪器测试系统实现了对多路并行电动工具的负载控制以及对扭矩、转速、功率以及温度的实时监测,并利用TCP/IP协议实现主控机对多路并行工位的远程操控以及测试数据的网络共享;高精度数字万用表模块DMM-4070利用四线制测量电动机内转子绕组,测量精度可以达到6 位;功率分析仪使用高精度功率传感器模块,测量精度可达0.3%。
该系统具有测量精度高、运行稳定性强、并行效率高等优点,已被运用于工业现场中,实际使用运行稳定可靠,适用于多种类型的电动机耐久性和综合性能测试。图5所示为实验测得的某电动机特征曲线,其中横轴为扭矩。图中还标出了转速曲线、功率曲线以及电流曲线。
随着计算机技术的飞速发展,计算机辅助测试(CAT)系统在电机行业得到了普及。现代虚拟仪器技术引入电动机测试领域后,通过虚拟仪器应用软件将计算机与标准化虚拟仪器硬件结合起来,实现了传统仪器功能的软件化与模块化,从而达到了自动测试与分析的目的,大大缩短了系统开发周期,降低了系统开发成本。
本文设计的电动机性能虚拟仪器测试系统采用Na—tional Instruments公司的LabVIEW和LabVIEW RT虚拟仪器软件平台以及与其配套的PCI、SCXI和compactFieldPoint(cFP)虚拟仪器硬件来完成。该系统实现了多路电动工具性能的并行测试;可自动完成电动工具负载控制以及对扭矩、转速、功率及机体温度的实时监控;并且通过TCP/IP协议实现了测试数据的远程共享和用户对测试系统的远程操控。
1 系统组成及工作原理
1.1 系统组成
电动机性能虚拟仪器测试系统主要由主控机、实时监控模块、测功机以及待测电机四部分组成,如图1所示。
主控机为一台工作站,用于提供图形化用户界面,完成对系统软硬件的配置和设置,并实时更新各指标参量对时间的波形显示和经曲线拟合后的电动机特性曲线,最后完成测试数据的记录工作。与此同时,主控机还通过嵌入式PCI数据采集卡完成对非控制参量(如输入电压和工作电流)的测量工作。

实时监控模块由两套cFP分布式I/O系统组成,通过TCP/IP协议与主控机通信,从主控机获得控制命令控制测功机,并将从测功机采集来的数据交由主控机处理。其中,模块A用于完成实时自动加载和控制指标参量的测量,并提供过载保护、紧急停车以及非法停机后的系统重建等应急措施;模块B用于对待测电机体表温度进行实时监测。
测功机有磁滞和磁粉两类,用于为待测电机提供负载,并由其内部的传感设备将待测电机在该负载下的扭矩、转速以及输出功率等待测指标参量转换为cFP实时监控模块A可以接收的电压信号。
1.2 工作原理
电动机性能虚拟仪器测试系统可在两种工作模式下运行:自动工作模式和手动工作模式。主要测试项目有:输入电压、输入电流、输入功率、扭矩、转速、输出功率、机体表面温度、机体内部温度等。
自动工作模式下,主控机首先等待用户完成软硬件的设置和配置,然后提请用户选择负载测试或定参数测试。负载测试下,用户需要设置负载曲线、负载时间、循环时间以及测试时间等测试参数;定参数测试下,用户可以选择指定扭矩、转速或者功率,并设置相应的定标参数、控制参数以及测试时间。完成以上步骤以后,就可以启动测试程序,测试系统即按照用户制定的负载自动加载,同时完成对待测电机的性能测试;或者通过一定的控制算法保持定标参数的稳定,并对该状态下的待测电机进行自动测试。系统运行的同时,用户可以在实时监测图表中观察各指标参量对时间的波形显示和经过曲线拟合后得到的电动机特性曲线,并可将感兴趣的图表导出存盘。当测试时间到时,系统自动终止测试。

手动工作模式下,系统工作原理与自动工作模式基本类似,只是系统不进行循环测试,而是提供一种交互式的测试环境;完成指定的测试项目后,等待用户的进一步操作。
2 硬件结构
电动机性能虚拟仪器测试系统硬件组成框图如图2所示。
2.1 主控机
主控机选用一台工作站,内嵌了一块PCI-6052多功能数据采集卡和一块PCI-4070高精度柔性数字万用表卡。PCI-6052多功能数据采集卡前置了两块SCXI—1120信号调理卡和配套的SCXI-1327衰减终端,用于采集多路待测电机工作电压和工作电流的输入信号;PCI-4070高精度柔性数字万用表卡前置了一块SCXI—1127多路开关卡和配套的SCXI—1331多路接线终端,用于扫描多路待测电机的转子绕组,并根据相应算法测得电机内部转子温度。
2.2 实时监控模块
实时监控模块选用cFP分布式I/O实时系统,该系统具有FIFO数据队列、断电数据缓存、看门狗状态监测等单元以及高抗冲击性和高抗扰性等特性,用于完成系统最核心的实时采集与控制功能。
采用cFP-2020作为实时系统控制器,支持Lab-VIEW RT实时模块,可脱离LabVIEW编程环境独立实时地运行下载到控制器存储器中的应用程序,并通过控制器内嵌的10/100Base TX以太网接口实现测试数据的网络共享。

cFP DI-330用于响应紧急停车开关、紧急关闭系统,防止意外事故的发生;cFP DO-403用于控制与各待测电机相连的固态继电器SSR,实现对工作电路的闭合或断开;cFP AO-210用于为测功机提供加载信号,控制待测电机所承受的负载,并在该负载下对电动机进行测试;cFP AI-210用于采集测功机输出的代表扭矩的电压信号,进而测量出待测电机实际的扭矩;cFP—CTR-502用于采集测功机输出的代表转速的TTL电平信号,进而测量出待测电机实际的转速。
2.3 实时测温模块
实时测温模块同样选用cFP分布式I/O实时系统。采用cFP-2020控制器,配以四块cFP TC—120 8通道热电偶模块,可直接用于测量标准J型热电偶,并提供相应的信号调理、输入噪声过滤、冷端补偿以及热电偶的温度的算法,用于在电动机工作端实施前端数据采样,并利用基于TCP/IP协议的分布式I/O的网络共享功能实现数据的远程共享。
2.4 测功机
测功机是根据作用力与反作用力平衡的原理设计的。当被测电机旋转带动测功机的转子旋转时,测功机转子切割磁力线产生电枢电流,并和磁通相互作用产生制动扭矩;同时测功机定子受到一个相反方向的扭矩作用,在测功机传感器轴上产生压应力,通过在传感器轴上粘贴电阻应变片,再将应变片接入一定的桥式电路就能将压应力的变化转化为电压信号,从而测量出扭矩的大小。
电机转速的测量使用光电式转速传感器。在电机轴上装一个边缘有N个均匀分布锯齿的圆盘,使光线投射到光敏管上,当电机转动一周,就得到N个脉冲信号,测量脉冲信号的频率或周期,就可得到电机的转速。
这里使用了磁滞和磁粉两种类型的测功机。磁滞测功机扭矩测量范围相对较小,最大扭矩为10N.m,但转速较大,最大转速为12000rpm;磁粉测功机扭矩测量范围较大,最大扭矩为20N.m,但转速测量范围较小,最大转速为4000rpm。两种类型的测功机互为补充,可适用于多种类型的电动机性能测试。
2.5 控制机柜
控制机柜主要由控制开关、开关电源、滤波器以及连接线路组成,为各路传感模块提供相应的多路接口,使之与待测电机连接,并提供安全的系统供电、激励注入、信号隔离、幅度调节以及风冷控制等辅助功能,为整个电动机测试系统提供强电支持及系统应急措施。
3 软件结构及算法
3.1 软件结构
电动机性能虚拟仪器测试系统总体采用一种基于TCP/IP协议的客户机/服务器(CS)结构。服务器架构为cFP分布式I/O体系,利用其内嵌的独立式实时系统实现目标参量的信号采样,并完成对目标参量的实时监测和控制;客户机则采用通用的PC机结构,借助TCP/IP协议实现与服务器之间控制参量及检测数据的通信,并提供GUI图形化用户界面,实现人机交互,完成控制参数的输入以及检测数据的分析、运算和图表显示。
其软件结构框图如图3所示。系统操作流程为:上电后服务器自动启动存储器中内建的LabVIEW RT实时程序,并实时侦听客户机“开始测试”的命令;客户机开机运行电动机性能虚拟仪器测试主程序,完成用户登录、硬件配置、选择测试项目、设置测试参数后,启动测试程序;服务器侦听到客户端“开始测试”命令后,按照客户制定的硬件配置、测试项目以及测试参数开始实时控制及数据采集,并通过TCP/IP协议将实验数据发送给客户机;客户机发出PID控制命令,并对服务器发送的实验数据进行分析处理,完成PID控制后,按照测试项目进行测试,分析处理测试数据,并以图表方式显示实验结果;完成测试后,客户机发出结束测试的命令,经服务器接收确认后,结束测试。
3.2 PID控制算法
本系统试验了位置式、增量式和积分分离式三种PID控制算法。
3.2.1 位置式控制算法
位置式PID控制算法描述为:

其中,k=0,1,2……为采样序号;u(k)为第k次采样时刻的计算机输出值;e(k)为第k次采样时刻输入的偏差值;置KI=KpT/TI为积分系数;KD=KpTD/T为微分系数;Kp为比例系数;TI为积分时间常数;TD为微分时间常数;T为采样周期。
该算法的优点是原理简单、易于实现;缺点是每次输出均与先前状态有关,要对e(k)进行累加,运算工作量大,而且输出的u(k)对应的是执行机构的实际位置,如计算机出现故障,u(k)的大幅度变化会引起执行机构位置的大幅度变化。
3.2.2 增量式控制算法
增量式PID控制算法描述为:
△u(k)=Kp△e(k)+KIe(k)+KD△e(k)-△e(k-1)]其中,△e(k)=e(k)-e(k-1)。
该算法的优点是:由于计算机输出增量,误动作时影响小;当计算机发生故障时,由于输出通道或执行装置具有信号锁存作用,故仍能保持原值。控制增量△u(k)的确定仅与最近k次的采样值有关,易通过加权处理而获得较好的控制效果。其不足之处为:积分截断效应大、有静态误差、溢出的影响大。
3.2.3 积分分离式控制算法
积分分离PID控制算法描述为:

当|e(k)|>ε时,即偏差值|e(k)|比较大时,采用PD控制,可避免过大的超调,又使系统有较快的响应。
当|e(k)|≤ε时,即偏差值|e(k)|比较小时,采用PID控制,可保证系统的控制精度。
图4所示为三种PID控制算法的阶跃响应曲线。经过试验比较,采用积分分离式PID控制算法将过渡过程时间由位置式的19.5s和增量式的16s缩短为12s;最大超调量由位置式的36%和增量式的25%缩小为18%,具有超调小、响应速度快、稳定性能好、遇干扰回复能力强的特点。
4 性能评估
该电动机性能虚拟仪器测试系统实现了对多路并行电动工具的负载控制以及对扭矩、转速、功率以及温度的实时监测,并利用TCP/IP协议实现主控机对多路并行工位的远程操控以及测试数据的网络共享;高精度数字万用表模块DMM-4070利用四线制测量电动机内转子绕组,测量精度可以达到6 位;功率分析仪使用高精度功率传感器模块,测量精度可达0.3%。
该系统具有测量精度高、运行稳定性强、并行效率高等优点,已被运用于工业现场中,实际使用运行稳定可靠,适用于多种类型的电动机耐久性和综合性能测试。图5所示为实验测得的某电动机特征曲线,其中横轴为扭矩。图中还标出了转速曲线、功率曲线以及电流曲线。
虚拟仪器 电动机 LabVIEW 嵌入式 电压 电流 万用表 看门狗 继电器 电路 传感器 电阻 开关电源 滤波器 相关文章:
- 基于DSP高精度伺服位置环设计(06-21)
- 基于LabVIEW的机械振动信号分析系统的开发(03-01)
- 基于LabVIEW与USB接口的实时数据采集系统(03-13)
- 基于LabVIEW 8.2的多用虚拟电压表设计(03-22)
- 基于LabVIEW编程的以太网远程温度监测(03-30)
- 光电鼠标传感器的精密测量与控制系统(04-13)
