基于虚拟仪器的圆盘式电流变传动机构的动态分析
时间:12-04
来源:互联网
点击:
电流变流体(ERF)是一种新型智能物质,在高压电场作用下,能快速实现液一固的转变,且响应速度快。研究了圆盘式电流变传动机构的动态特性,并采用NI虚拟仪器对机构进行分析、检测和控制,通过实验得出数据,进而分析了输入转矩、输出转矩、转速与所加高压电场的关系。
电流变流体(ERF)是一种新型的智能材料,它的粘性和屈服应力可用外加电场加以控制。随着现代科学技术的发展,机电一体化(Mechatronics)

越来越受到重视,把机、电、液融合为一体,用微机进行控制的流体元件及系统不断问世。将电流变流体技术应用于机械系统和液压控制系统,可实现无移动件或少移动件的机构,极大地改善了系统的动态品质。
电流变流体的应用领域很广泛,在工程应用方面包括液压工程、汽车制造工业、机器人系统、流体密封领域等。其在汽车制造工业中,可用于汽车发动机冷却风扇的调速离合器、传动离合器、阻尼可控的减振器或计算机控制是悬挂系统等。采用ER技术设计制造的汽车零部件,具有性能优良、无磨损、寿命长、制造工艺性好、成本低的特点,而且可直接用计算机控制,无需接口。采用ER技术的汽车在未来市场竞争中具有明显的优势。电流变传动的自动控制系统由三部分组成,即机械传动机构、计算机检测与控制装置和电流变流体。
1 机构工作原理
图1所示为圆盘式电流变传动机构工作原理图。中间盘和芯轴连在一起,芯轴左端有步地电机,芯轴右端接负载,左右端各套一个圆盘,左右圆盘和中间盘间充满ERF。本实验中ERF选用哈尔滨工业大学复合材料研究所研制的HITL2型ERF,外加电场由电子开关控制。输入信号由芯轴左端进电机提供。由于输入信号很小,而芯轴右端接有负载,所以芯轴转动不起来。这时由导步电机带动左右圆盘以大小相等、方向相反的转速ΩL、ΩR旋转,将需要加高压电源的一侧的电子开关合上(如要增加力矩,则合上左侧的电子开关),此时圆盘和中间盘间的ERF会产生中流变效应,通过圆盘将产生的附加力矩传递给中间盘输出。
图2 实验原理图
可以看出,中间盘的轴的左端输入微小的机械控制信号,右端可以输出大的力矩,电场使左盘或右盘与中间盘之间的ERF粘度变稠,产生大的剪切应力,从而使中间盘克服负载力矩,按输入信号转动。这就是双圆盘式电流变传动机构的工作原理。
2 系统理论模型
ERF在无外加电场作用时表现为牛顿流体。在有外加电场作用下表现为接近Bingham流体,在低应变率下,具有粘弹性能。在高电场下,是具有高屈服应力的粘塑性体。
其本构方程为:
τ=τy+ηplγ (1)
其中,τ为流体流动产生的剪切应力,τy是在电场作用下,电流变流体逐渐固化或稠化所产生的屈服应力,γ是剪切速率。

屈服应力与外加电场的关系为:
τy=AE2=A(U/h)2(2)
电流变效应产生的剪切应力使从动盘获得力矩Me。这个电流变力矩Me与τy、ηpl、左盘和右盘的转速差ΔΩ、圆盘间的间距h、圆盘有效面积的内外圆半径r1和r2的关系如下式所示:

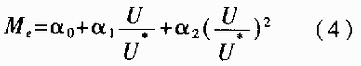
由式(2)知,剪切力矩和外加电压间呈非线性关系。
这里假设它们的关系为幂次关系,如下式所示:

其中,α0、α1、α2由实验获得,U=1kV。

这是为了使系数量纲一致,且都为力矩量纲。
3 传动机构测控系统的构建
实验装置如图2所示,控制、分析和检测采用NI虚拟仪器系统由计算机自动进行。在实验中,采用多功能数据采集板PCI-MIO-16E-1、SCXI信号调理系统、温度及电压测量仪和动态信号分析仪NI-4552等对数据进行采集和分析,采用任意波形发生器PCI-5411、接线端子UMI和电机控制板Flexmotion-6C等对步进电机进行控制,整个系统由软件平台LabView编写的程序进行管理。由步进电机输入不同的运动信号,由异步电机产生剪切场。图3是采用LabView编写的NI虚拟仪器控制程序。通过实验得到的结果分析圆盘式电流变传动装置的动态性能。
在进行电流变传动性能的实验研究中,利用步进电机实现变信号输入,通过控制异步电机的转速来调节剪切速率,在高压电流输出高压的同时,采集电流变传动装置的输入、输出转矩和转速的信号。装置的输出端利用木头轮和簧片磨擦来模拟负载。

4 实验结果
在交流电场作用下,对于本实验所采用的ERF,其产生的电流变效应比在直流电场作用下要强,屈服应力也相应要大。随着外部施加电压的增大,电流变传动装置的输出转矩也有一定的增大,如图4、5所示。
当环境温度为18.9℃、外加电压为交流3kV、主动盘的转速为60r/m时,步进电机的输出按图6所示的任意波形变化,得到的电流变传动的输入转矩和输出转矩如图7所示。装置的输入转矩随步进电机的输出转速信号的变化而变化,而输入转矩信号与负载相关,随负载的变化而产生波动。

主动盘的旋转是给电流变流体产生一个旋转剪切场。当环境温度为18.6℃、外加3kV的直汉电压、并撤去步进电机的输入时,调节异步电机的转速,从而挖掘电流变传动装置的主动盘的转速,得到图8所示的结果。
从图8可以看出,随着电流变传动装置的主动圆盘转速的增大,其输出转矩也随之增大。在主动盘转速较低时,其变化对输出转矩的影响较小;而当主动盘转速较高时,其变化对输出转矩的影响就比较明显。
根据(4)式及实验所得数据,转矩Me拟合的曲线如图9所示,其中α0为0.0611,α1为-0.02732,α2为0.00577。
通过以上分析,可得出如下结论:
(1)对本实验所设计的圆盘式电流变传动装置,选用一种电流变流体后,其传动特性只与外加电场有关。
(2)HITL2型电流变流体在交流电场作用下,其电流变效应比在直流电场作用下要强。并且,随着外加电场的增大,电流变效应所产生的屈服应力也随之增大。

(3)电流变传动装置的输出转矩的曲线是波动的。因为负载是变化的,输出转矩要与负载相匹配,因此输出转矩也应随着负载的变化而变化,即呈波形状态。
(4)电流变传动装置的输入转矩是跟退步进电机的转速信号,但有一定的滞后,因为在机构中使用了弹性联轴器。

(5)对电流变的控制,采用双主动圆盘的机械结构,使剪切速变对传动力矩的影响可以忽略不计。只要控制电场就能控制电流变传动装置。
电流变流体(ERF)是一种新型的智能材料,它的粘性和屈服应力可用外加电场加以控制。随着现代科学技术的发展,机电一体化(Mechatronics)

越来越受到重视,把机、电、液融合为一体,用微机进行控制的流体元件及系统不断问世。将电流变流体技术应用于机械系统和液压控制系统,可实现无移动件或少移动件的机构,极大地改善了系统的动态品质。
电流变流体的应用领域很广泛,在工程应用方面包括液压工程、汽车制造工业、机器人系统、流体密封领域等。其在汽车制造工业中,可用于汽车发动机冷却风扇的调速离合器、传动离合器、阻尼可控的减振器或计算机控制是悬挂系统等。采用ER技术设计制造的汽车零部件,具有性能优良、无磨损、寿命长、制造工艺性好、成本低的特点,而且可直接用计算机控制,无需接口。采用ER技术的汽车在未来市场竞争中具有明显的优势。电流变传动的自动控制系统由三部分组成,即机械传动机构、计算机检测与控制装置和电流变流体。
1 机构工作原理
图1所示为圆盘式电流变传动机构工作原理图。中间盘和芯轴连在一起,芯轴左端有步地电机,芯轴右端接负载,左右端各套一个圆盘,左右圆盘和中间盘间充满ERF。本实验中ERF选用哈尔滨工业大学复合材料研究所研制的HITL2型ERF,外加电场由电子开关控制。输入信号由芯轴左端进电机提供。由于输入信号很小,而芯轴右端接有负载,所以芯轴转动不起来。这时由导步电机带动左右圆盘以大小相等、方向相反的转速ΩL、ΩR旋转,将需要加高压电源的一侧的电子开关合上(如要增加力矩,则合上左侧的电子开关),此时圆盘和中间盘间的ERF会产生中流变效应,通过圆盘将产生的附加力矩传递给中间盘输出。
图2 实验原理图
可以看出,中间盘的轴的左端输入微小的机械控制信号,右端可以输出大的力矩,电场使左盘或右盘与中间盘之间的ERF粘度变稠,产生大的剪切应力,从而使中间盘克服负载力矩,按输入信号转动。这就是双圆盘式电流变传动机构的工作原理。
2 系统理论模型
ERF在无外加电场作用时表现为牛顿流体。在有外加电场作用下表现为接近Bingham流体,在低应变率下,具有粘弹性能。在高电场下,是具有高屈服应力的粘塑性体。
其本构方程为:
τ=τy+ηplγ (1)
其中,τ为流体流动产生的剪切应力,τy是在电场作用下,电流变流体逐渐固化或稠化所产生的屈服应力,γ是剪切速率。

屈服应力与外加电场的关系为:
τy=AE2=A(U/h)2(2)
电流变效应产生的剪切应力使从动盘获得力矩Me。这个电流变力矩Me与τy、ηpl、左盘和右盘的转速差ΔΩ、圆盘间的间距h、圆盘有效面积的内外圆半径r1和r2的关系如下式所示:

由式(2)知,剪切力矩和外加电压间呈非线性关系。
这里假设它们的关系为幂次关系,如下式所示:

其中,α0、α1、α2由实验获得,U=1kV。

这是为了使系数量纲一致,且都为力矩量纲。
3 传动机构测控系统的构建
实验装置如图2所示,控制、分析和检测采用NI虚拟仪器系统由计算机自动进行。在实验中,采用多功能数据采集板PCI-MIO-16E-1、SCXI信号调理系统、温度及电压测量仪和动态信号分析仪NI-4552等对数据进行采集和分析,采用任意波形发生器PCI-5411、接线端子UMI和电机控制板Flexmotion-6C等对步进电机进行控制,整个系统由软件平台LabView编写的程序进行管理。由步进电机输入不同的运动信号,由异步电机产生剪切场。图3是采用LabView编写的NI虚拟仪器控制程序。通过实验得到的结果分析圆盘式电流变传动装置的动态性能。
在进行电流变传动性能的实验研究中,利用步进电机实现变信号输入,通过控制异步电机的转速来调节剪切速率,在高压电流输出高压的同时,采集电流变传动装置的输入、输出转矩和转速的信号。装置的输出端利用木头轮和簧片磨擦来模拟负载。

4 实验结果
在交流电场作用下,对于本实验所采用的ERF,其产生的电流变效应比在直流电场作用下要强,屈服应力也相应要大。随着外部施加电压的增大,电流变传动装置的输出转矩也有一定的增大,如图4、5所示。
当环境温度为18.9℃、外加电压为交流3kV、主动盘的转速为60r/m时,步进电机的输出按图6所示的任意波形变化,得到的电流变传动的输入转矩和输出转矩如图7所示。装置的输入转矩随步进电机的输出转速信号的变化而变化,而输入转矩信号与负载相关,随负载的变化而产生波动。

主动盘的旋转是给电流变流体产生一个旋转剪切场。当环境温度为18.6℃、外加3kV的直汉电压、并撤去步进电机的输入时,调节异步电机的转速,从而挖掘电流变传动装置的主动盘的转速,得到图8所示的结果。
从图8可以看出,随着电流变传动装置的主动圆盘转速的增大,其输出转矩也随之增大。在主动盘转速较低时,其变化对输出转矩的影响较小;而当主动盘转速较高时,其变化对输出转矩的影响就比较明显。
根据(4)式及实验所得数据,转矩Me拟合的曲线如图9所示,其中α0为0.0611,α1为-0.02732,α2为0.00577。
通过以上分析,可得出如下结论:
(1)对本实验所设计的圆盘式电流变传动装置,选用一种电流变流体后,其传动特性只与外加电场有关。
(2)HITL2型电流变流体在交流电场作用下,其电流变效应比在直流电场作用下要强。并且,随着外加电场的增大,电流变效应所产生的屈服应力也随之增大。

(3)电流变传动装置的输出转矩的曲线是波动的。因为负载是变化的,输出转矩要与负载相匹配,因此输出转矩也应随着负载的变化而变化,即呈波形状态。
(4)电流变传动装置的输入转矩是跟退步进电机的转速信号,但有一定的滞后,因为在机构中使用了弹性联轴器。

(5)对电流变的控制,采用双主动圆盘的机械结构,使剪切速变对传动力矩的影响可以忽略不计。只要控制电场就能控制电流变传动装置。
- 航天器DC/DC变换器的可靠性设计(02-12)
- 基于nRF2401智能小区无线抄表系统集中器设计(04-30)
- 卫星电源分系统可靠性设计与研究(02-12)
- 采用信号调理IC驱动应变片电桥传感器(05-26)
- 解密波音747飞机中的Sperry垂直陀螺仪(05-06)
- 安森美90W太阳能LED街灯高能效解决方案(05-18)
