数字射频存储系统关键技术仿真研究
时间:11-18
来源:互联网
点击:
数字射频存储器(DRFM)是现代电子对抗系统中有源雷达干扰机的主要组成部分,用于将接收到的雷达信号精确地复制后再返回该雷达系统,以此来混淆该系统。正是应用DRFM的精确复制雷达信号的特点,DRFM技术已经广泛应用于各种雷达回波信号发生器、雷达综合测试仪和各类通用信号源的研制。为了更好地保真复制各类信号,为研究数字射频存储器提供可靠的仿真理论依据是本文的主要研究内容。
1 基本原理
数字射频存储(DRFM)的基本工作原理:首先将输入射频信号下变频为中频信号,经A/D变换后成为数字信号,写入高速存储器中。当需要重发这一信号时,在控制器控制下读出此数字信号并由D/A变换为模拟信号。然后用同一本振作上变频,得到射频输出信号,完成对输人信号的存储转发。
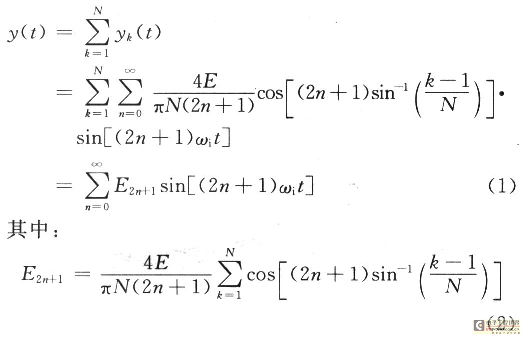
首先对量化过程进行分析,现假设基带输入信号为一个正弦信号gi(t)=Esinωit,量化位数为N,经过量化后的信号可用阶梯波y(t)表示,y(t)可以被认为是N对矩形波的叠加。如果A/D变换的量化位数为m,那么正或负半周的量化台阶数为N=2m-1。
阶梯波的表达式为:

E2n+1就是量化产生的谐波分量幅度,可由该式计算各阶谐波的功率。
在采样的过程中,为简便起见,以一位量化信号作为输入,则输入信号为:

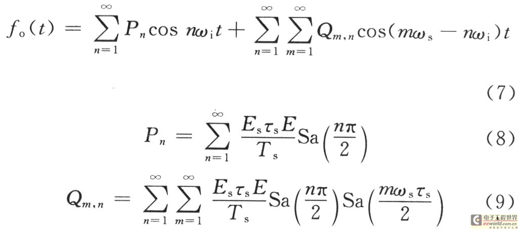
式中:E,ωi分别为输入信号的幅度和角频率。设采样脉冲信号为fs(t),采样后的信号为fo(t),则采样过程在时域上的数学表示式为 fo(t)=fi(t)fs(t),在DRFM中采用等间隔均匀采样,采样周期为Ts,采样时钟频率ωs=2πfs。在实际电路中,采样是在采样脉冲上升的瞬间完成的。因此采样脉冲的宽度可以看成一个窄脉宽,用τs。来表示。采样脉冲的傅里叶级数为:

式中:Es,τs,Ts和ωs分别为采样信号的幅度、脉宽、周期和角频率。则:

在式(6)中,第一项是基带的谐波信号,是由量化所产生的频谱成分,只有在基带滤波器内,谐波将成为寄生信号,所有nωi>ωs/2的项将被滤除 (n取奇数);第二项则完全在滤波器外,不用考虑;第三项是交调信号,满足(mωs-nωi)<ωs/2的所有成分,将成为交调寄生信号,它们是信号谐波与时钟谐波的交叉调制引起的。若以D表示脉冲信号占空比,且忽略第二项,则式(6)变为:

式(8),式(9)即为计算1 b量化DRFM的高次谐波和交调信号幅度的方法。
2 仿真模型
通过建立数学模型,应用当前功能强大的Matlab中Simulink工具箱可以很好地实现该系统的仿真。采样与量化过程的仿真建模如图1所示。

信号发生部分采用Signal Generator模块产生正弦波;噪声源采用Gaussian Noise Generator,Zero-Order Hold模块实现采样功能。Compare To Zero模块实现单比特量化,Uniform Encoder模块实现多比特量化。各路信号分别经Data Type Conversion转换为合适的数据格式,送入Spectrum Scope显示频谱。该模型同时显示四路信号经处理后的频谱,四路信号由同一信号源产生,以使得结果更具可比较性。为了尽量模拟实际环境,加入了均值为 0、方差为0.01的高斯噪声。
3 仿真分析
(1)输入信号频率fi=10 MHz,经理论分析计算得到表1。

对模型进行仿真得到结果如图2所示((a)~(d)分别对应于仿真模型的四个支路)。
(2)输入信号频率fi=20 MHz。经理论分析计算得到表2;对模型进行仿真结得到结果如图3所示((a)~(d)分别对应于仿真模型的四个支路)。

由理论图表及仿真图形可知,该组仿真方案没有谐波产生,频谱图中仅有45 MHz处的基波和15 MHz,75 MHz处的交调,这一现象是由于信号频率过高,以致于谐波频率过高而被基带滤波器除去。尽管没有谐波产生,但是交调的功率很大,对系统的高性能工作同样是一个不利因素。
4 结 语
综上所述,根据采样与量化过程仿真分析可以得出:
(1)采样和量化使信号频谱发生变化,出现了新的频率分量——谐波和交调,降低了DRFM的有效发射功率,使得系统的工作能力变差。
(2)噪声污染会使频谱变得更加复杂,对于一个系统,输出信噪比取决于输入信噪比和系统内部信噪比,因此噪声的存在必将降低DRFM的信噪比。
(3)总的来讲,谐波分量随频率增加降低,而交调分量随频率增加升高,也就是说高次谐波幅度较低次的小,而高次交调幅度较低次的大。
(4)当信号频率和采样率一定时,提高采样率或增加量化位数都可以起到抑制寄生信号的作用。具体来讲,提高采样率对交调有很好的抑制作用,而对谐波作用不明显;增加量化位数对交调和谐波都有很好抑制作用。
1 基本原理
数字射频存储(DRFM)的基本工作原理:首先将输入射频信号下变频为中频信号,经A/D变换后成为数字信号,写入高速存储器中。当需要重发这一信号时,在控制器控制下读出此数字信号并由D/A变换为模拟信号。然后用同一本振作上变频,得到射频输出信号,完成对输人信号的存储转发。
首先对量化过程进行分析,现假设基带输入信号为一个正弦信号gi(t)=Esinωit,量化位数为N,经过量化后的信号可用阶梯波y(t)表示,y(t)可以被认为是N对矩形波的叠加。如果A/D变换的量化位数为m,那么正或负半周的量化台阶数为N=2m-1。
阶梯波的表达式为:

E2n+1就是量化产生的谐波分量幅度,可由该式计算各阶谐波的功率。
在采样的过程中,为简便起见,以一位量化信号作为输入,则输入信号为:

式中:E,ωi分别为输入信号的幅度和角频率。设采样脉冲信号为fs(t),采样后的信号为fo(t),则采样过程在时域上的数学表示式为 fo(t)=fi(t)fs(t),在DRFM中采用等间隔均匀采样,采样周期为Ts,采样时钟频率ωs=2πfs。在实际电路中,采样是在采样脉冲上升的瞬间完成的。因此采样脉冲的宽度可以看成一个窄脉宽,用τs。来表示。采样脉冲的傅里叶级数为:

式中:Es,τs,Ts和ωs分别为采样信号的幅度、脉宽、周期和角频率。则:

在式(6)中,第一项是基带的谐波信号,是由量化所产生的频谱成分,只有在基带滤波器内,谐波将成为寄生信号,所有nωi>ωs/2的项将被滤除 (n取奇数);第二项则完全在滤波器外,不用考虑;第三项是交调信号,满足(mωs-nωi)<ωs/2的所有成分,将成为交调寄生信号,它们是信号谐波与时钟谐波的交叉调制引起的。若以D表示脉冲信号占空比,且忽略第二项,则式(6)变为:

式(8),式(9)即为计算1 b量化DRFM的高次谐波和交调信号幅度的方法。
2 仿真模型
通过建立数学模型,应用当前功能强大的Matlab中Simulink工具箱可以很好地实现该系统的仿真。采样与量化过程的仿真建模如图1所示。

信号发生部分采用Signal Generator模块产生正弦波;噪声源采用Gaussian Noise Generator,Zero-Order Hold模块实现采样功能。Compare To Zero模块实现单比特量化,Uniform Encoder模块实现多比特量化。各路信号分别经Data Type Conversion转换为合适的数据格式,送入Spectrum Scope显示频谱。该模型同时显示四路信号经处理后的频谱,四路信号由同一信号源产生,以使得结果更具可比较性。为了尽量模拟实际环境,加入了均值为 0、方差为0.01的高斯噪声。
3 仿真分析
(1)输入信号频率fi=10 MHz,经理论分析计算得到表1。

对模型进行仿真得到结果如图2所示((a)~(d)分别对应于仿真模型的四个支路)。
(2)输入信号频率fi=20 MHz。经理论分析计算得到表2;对模型进行仿真结得到结果如图3所示((a)~(d)分别对应于仿真模型的四个支路)。

由理论图表及仿真图形可知,该组仿真方案没有谐波产生,频谱图中仅有45 MHz处的基波和15 MHz,75 MHz处的交调,这一现象是由于信号频率过高,以致于谐波频率过高而被基带滤波器除去。尽管没有谐波产生,但是交调的功率很大,对系统的高性能工作同样是一个不利因素。
4 结 语
综上所述,根据采样与量化过程仿真分析可以得出:
(1)采样和量化使信号频谱发生变化,出现了新的频率分量——谐波和交调,降低了DRFM的有效发射功率,使得系统的工作能力变差。
(2)噪声污染会使频谱变得更加复杂,对于一个系统,输出信噪比取决于输入信噪比和系统内部信噪比,因此噪声的存在必将降低DRFM的信噪比。
(3)总的来讲,谐波分量随频率增加降低,而交调分量随频率增加升高,也就是说高次谐波幅度较低次的小,而高次交调幅度较低次的大。
(4)当信号频率和采样率一定时,提高采样率或增加量化位数都可以起到抑制寄生信号的作用。具体来讲,提高采样率对交调有很好的抑制作用,而对谐波作用不明显;增加量化位数对交调和谐波都有很好抑制作用。
- 基于nRF2401智能小区无线抄表系统集中器设计(04-30)
- 基于nRF2401智能无线火灾监控系统设计(04-01)
- 家居安防无线监控报警系统(04-02)
- 什么是原子钟(07-04)
- 基于nRF905智能小区照明控制系统设计(08-20)
- 航天飞机将退出历史舞台,专家讲解原因(11-09)
