基于模糊自整定PID的汽轮机数字电液控制系统
时间:08-05
来源:互联网
点击:
汽轮机调节系统是保证机组安全稳定运行的关键设备,其性能的好坏直接影响机组的运行可靠性和经济性。在数字电液调节系统中,引入了数字计算机作为控制系统的核心,可以方便地实现信号的综合与控制,控制精度提高,控制特性得到了全面的改进,因此,DEH在汽轮机调节系统中得到了越来越广泛的应用。传统汽轮机采用PID控制方式通过数字电液控制系统对汽轮机实施控制,但是在实际使用当中,每一套系统的状态都不是完全一致,对参数的调节总是依赖工程师的经验。而且当系统发生扰动时(如负载突然出现较大变化),或系统有摄动时(如内部某些器件参数发生变化),难以保持良好的控制性能。为此,本文把模糊控制技术引入PID控制,设计了一种模糊自整定PID控制器应用于汽轮机数字电液控制系统,可以实现系统控制的智能化,当系统发生扰动或摄动时参数能够自动整定。
1 汽轮机DEH系统的模型描述
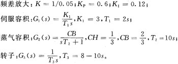
传统数字电液控制系统是通过PID控制器实现对输出量的控制,进而对汽轮机实施控制。汽轮机数字电液调节系统的结构包括PID控制器、电液转换器、油动机、蒸汽容积、转子等环节以及功率和转速反馈环节。汽轮机DEH系统的数学模型如图1所示。
系统中的传递函数和参数分别为:
2 模糊自整定PID控制器的设计
传统PID参数的整定还没有实现自动化,所以模糊自整定PID参数控制器的目的是为了使参数KP,KI,KD随着偏差E和偏差变化EC的变化而自行调整。由于模糊控制器是采用数字计算机来实现的,因此模糊控制器的设计问题就是模糊化过程、数据库(含数据库和规则库)、推理决策和精确化计算4部分的设计问题。
2.1 离散化和模糊化过程
在汽轮机数字电液控制系统中,将测得的机组实际转速与设定值比较得到偏差E和偏差变化率EC,并以之作为模糊控制器的输入变量,以KP,KI,KD三个参数作为输出变量。先将他们的实际范围即基本论域[—ne ne],[—ncnc]转换到相应的模糊集论域中,E,Ec的论域为[-3,3],KP,KI的论域均为[0,1],KD的论域为[0,0.4]。然后将E和EC这些连续的精确量分别离散化成7个模糊子集,用语言值正大(PB),正中(PM),正小(PS),零(ZO)负小(NS)负中(NM)负大(NB)表示;将KP,KI,KD分别离散化成三个模糊子集,用语言大(B),中(M),小(S)表示。E,EC和三个输出量KP,KI,KD的模糊隶属函数全部是采用trimf型(三角形函数)。
2.2 模糊规则的建立
模糊控制器所遵循的调整规则是:
(1)当E较大时,为加快系统响应,应取较大的KP和较小的KD,由于积分太强会使系统超调加大,因而要对积分作用加以限制,通常取KI=0或者较小值;
(2)当E中等大小时,为减少系统超调,KP应适当减小,洞时对KD和KI的取值要适当;
(3)当E较小时,为减小稳态误差,KP与KI应取得大些,在这种情况下,KD的取值最重要,取值不当会引起系统振荡。
总结操作人员长期的控制经验和PID控制器参数的整定规律,可以得到一系列模糊推理规则,然后按照调整规则建立模糊控制规则表,可写成条件语句的形式控制规则:If E= * * and EC= * * then Kp= * Ki= * Kd= *。
2.3 其他
选取Mamdani型模糊推理原则作为推理决策,解模糊化采取中心平均法,最后,为使输人信号与模糊自整定控制器的论域相同,在模糊控制器的输入前引入了幅度为6的限幅器。
3 仿真实验
为了检验模糊自整定PID控制器的性能,分别用常规PID控制器模糊自整定PID控制器对汽轮机DEH系统进行控制仿真。
仿真中模糊自整定控制器中KP,KI,KD三个待整定参数的初始值均为零。为使输入信号与模糊自整定控制器的论域相同,引入了幅度为3的限幅器。当给定转速均设定为n=1 000 rad/s时,分别对上述两系统进行仿真。
4 结 语
由仿真结果可明显看出模糊自整定PID调节较之常规PID调节,系统的快速性和稳定性得到了提高,总结起来模糊自整定PID主要有以下几个优点:
(1)模糊自整定PID算法的初值为零,不需要人工给定初始整定值,他能通过自整定获得参数的最优值,且实现简单,而常规PID算法需要操作者根据以往的累积经验以及实际的系统输出经多次试调之后获得较优值。
(2)模糊自整定PID算法的超调量和调整时问均小于常规PID算法。
(3)由仿真结果可看出将模糊自整定PID控制器用于汽轮机DEH系统能使系统的快速性和各项性能指标得到显著提高,说明了该方法的有效性。
1 汽轮机DEH系统的模型描述
传统数字电液控制系统是通过PID控制器实现对输出量的控制,进而对汽轮机实施控制。汽轮机数字电液调节系统的结构包括PID控制器、电液转换器、油动机、蒸汽容积、转子等环节以及功率和转速反馈环节。汽轮机DEH系统的数学模型如图1所示。
系统中的传递函数和参数分别为:
![]() |
2 模糊自整定PID控制器的设计
传统PID参数的整定还没有实现自动化,所以模糊自整定PID参数控制器的目的是为了使参数KP,KI,KD随着偏差E和偏差变化EC的变化而自行调整。由于模糊控制器是采用数字计算机来实现的,因此模糊控制器的设计问题就是模糊化过程、数据库(含数据库和规则库)、推理决策和精确化计算4部分的设计问题。
2.1 离散化和模糊化过程
在汽轮机数字电液控制系统中,将测得的机组实际转速与设定值比较得到偏差E和偏差变化率EC,并以之作为模糊控制器的输入变量,以KP,KI,KD三个参数作为输出变量。先将他们的实际范围即基本论域[—ne ne],[—ncnc]转换到相应的模糊集论域中,E,Ec的论域为[-3,3],KP,KI的论域均为[0,1],KD的论域为[0,0.4]。然后将E和EC这些连续的精确量分别离散化成7个模糊子集,用语言值正大(PB),正中(PM),正小(PS),零(ZO)负小(NS)负中(NM)负大(NB)表示;将KP,KI,KD分别离散化成三个模糊子集,用语言大(B),中(M),小(S)表示。E,EC和三个输出量KP,KI,KD的模糊隶属函数全部是采用trimf型(三角形函数)。
2.2 模糊规则的建立
模糊控制器所遵循的调整规则是:
(1)当E较大时,为加快系统响应,应取较大的KP和较小的KD,由于积分太强会使系统超调加大,因而要对积分作用加以限制,通常取KI=0或者较小值;
(2)当E中等大小时,为减少系统超调,KP应适当减小,洞时对KD和KI的取值要适当;
(3)当E较小时,为减小稳态误差,KP与KI应取得大些,在这种情况下,KD的取值最重要,取值不当会引起系统振荡。
总结操作人员长期的控制经验和PID控制器参数的整定规律,可以得到一系列模糊推理规则,然后按照调整规则建立模糊控制规则表,可写成条件语句的形式控制规则:If E= * * and EC= * * then Kp= * Ki= * Kd= *。
2.3 其他
选取Mamdani型模糊推理原则作为推理决策,解模糊化采取中心平均法,最后,为使输人信号与模糊自整定控制器的论域相同,在模糊控制器的输入前引入了幅度为6的限幅器。
3 仿真实验
为了检验模糊自整定PID控制器的性能,分别用常规PID控制器模糊自整定PID控制器对汽轮机DEH系统进行控制仿真。
仿真中模糊自整定控制器中KP,KI,KD三个待整定参数的初始值均为零。为使输入信号与模糊自整定控制器的论域相同,引入了幅度为3的限幅器。当给定转速均设定为n=1 000 rad/s时,分别对上述两系统进行仿真。
4 结 语
由仿真结果可明显看出模糊自整定PID调节较之常规PID调节,系统的快速性和稳定性得到了提高,总结起来模糊自整定PID主要有以下几个优点:
(1)模糊自整定PID算法的初值为零,不需要人工给定初始整定值,他能通过自整定获得参数的最优值,且实现简单,而常规PID算法需要操作者根据以往的累积经验以及实际的系统输出经多次试调之后获得较优值。
(2)模糊自整定PID算法的超调量和调整时问均小于常规PID算法。
(3)由仿真结果可看出将模糊自整定PID控制器用于汽轮机DEH系统能使系统的快速性和各项性能指标得到显著提高,说明了该方法的有效性。
- 基于ARM与DSP的嵌入式运动控制器设计(04-25)
- 多核及虚拟化技术在工业和安全领域的应用(05-23)
- 基于nRF2401智能小区无线抄表系统集中器设计(04-30)
- 解密波音747飞机中的Sperry垂直陀螺仪(05-06)
- lns构架智能小区安防及关键技术应用研究(06-09)
- 基于MSP430及PROFIBUS的监测子站设计(06-12)

