微波EDA网,见证研发工程师的成长!
首页 > 硬件设计 > MCU和DSP > 用单片机软件实现传感器温度误差补偿

用单片机软件实现传感器温度误差补偿

时间:09-02 来源:互联网 点击:
1 引言

对高精度传感器,温度误差已成为提高其性能的严重障碍,特别是在环境温度变化较大的应用场合更是如此。依靠传感器本身附加一些简单的硬件补偿措施是很困难的,目前对于一传感器测量系统已大量引入了单片机,实现自动检测和控制。因此用单片机自身的特点,利用软件来解决传感器温度误差难题是一条有效途径。

在一单片机传感器测量系统中,要解决传感器温度误差补偿问题,首先要测出传感器点的温度,该温度信号作为多路采样开关采集信号的一路送入单片机。测温元件通常是安装在传感器内靠近敏感元件的地方,用来测量传感器点的环境温度,测温元件的输出经放大及A/D转换送到单片机,单片机通过并行接口接收温度数据,并暂存温度数据。信号采样结束,单片机运行温度误差补偿程序,对传感器信号的温度误差进行补偿。对多个传感器,可用多个测温元件,常用的测温元件有半导体热敏电阻、AD950测温管、PN结二极管等。原理框图如图1。



2 建立温度误差的数学模型

温度变化给传感器实际测量带来误差,表现在传感器的输入输出特性曲线上产生非线性变化。为解决这样问题,必须使问题简单化,找出它们间的关系,建立对应的数学模型。传感器特性曲线y=f(x),如图2所示。



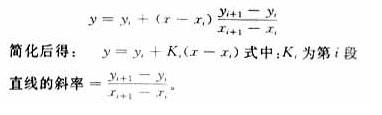
我们可以把该曲线按一定要求分成若干段,在此设分成n段,然后把相邻两段点之间的曲线用直线近似,这样可以利用线性方法求出输入值x所对应的输出值,这就是线性插值法。设输入值在(xi, xi+1)之间,则其对应的输出值y可由下式求得:




从上式可知,只要n取得足够大就可获得良好的精度。

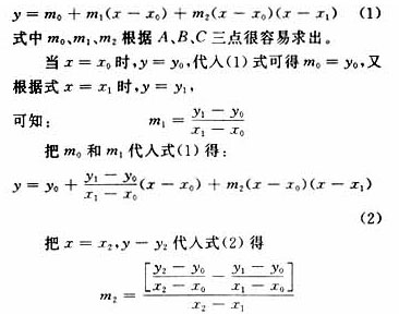
若传感器的输入和输出之间的特性曲线的斜率变化很大,采用线性插值法,误差就很大,这时可采用二次曲线插值法,即通过曲线上3个点A(x0、y0),B(x1、y1),C(x2、y2)做一抛物线,用此曲线代替原来的曲线,如图3所示。曲线方程为一元二次方程,一般形式为:

y="K0"+K1x+K2x2

式中K0,K1,K2为待定系数,可用曲线y=f(x)的3个点A,B,C的二元一次方程组求解,这就需要解联立方程组,计算较复杂,列出的程序也较复杂,因此可以用另外一种型式:



由此可见,利用3个已知点A,B,C的数值求出系数m0,m1,m2后,存放在相应的内存单元,然后根据某点的x值代入式(1)即可求出被测值y。

以上是对传感器建立温度误差的数学模型,用此模型可实现传感器温度补偿。




3 实现温度误差补偿的方法

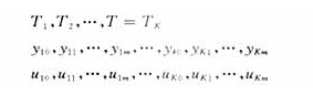
首先给定K个温度值(T0,T1,T2,…,TK-1),测出每个温度点上传感器静态特性曲线在u 轴上的截距(u0,u1,…,uK),每个温度点上传感器特性曲线的数据要精确,必要时应在恒温箱内进行,这需要较大的工作量,如图4所示。



图中y为被测物理量,u为输出电压,利用最小二乘法曲线拟合求出截距u的多项式:




将b0,b1,b2,…,bK和计算上式的子程序送入内存,温度值T0,T1,…,TK-1和传感器对应的输出电压值u0,u1,…, uK-1按顺序分配方式存入内存,构成一个线性表,采集数据时,CPU按线性查找对应温度的电压值u,并按下式计算对应的被测物理量y:

y =(u-U) tgα

式中U是温度直线在坐标上的截距,可用线性插值由输入的T求得,α是温度直线与纵坐标轴u的夹角。按图5流程编制补偿程序,并作为子程序与监控程序一并使用,以便采集数据时按流程图自动温度补偿。




对温度特性曲线斜率变化大的传感器,一般采用分段线性插值法,在不同温度T(i=1,2,…,K)下测出下列数值:




式中: yij—温度Ti时第j次输入传感器的被测物理量;

uij—温度Ti时第j次测得的传感器输出电压。

用拟合法求出各温度上的传感器静态输出输出特性的拟合多项式:



将b0,b1,b2,…,bk和以上多项式的计算程序写入内存,数据采集过程按图6流程图进行温度补偿,即由输入T和u查找和计算y值,采用的分段线性插值方法,只要K足够大,其误差就足够小。

4 结语

用单片机的软件实现传感器温度误差补偿,是一种简便、有效的方法。它可以大大提高传感器的测量精度,降低测量系统电路的复杂程度,提高可靠性,降低成本。特别是如硅阻、应变片、电容式等传感器受温度影响大,使用该方法可以提高它们测量精度。目前单片机广泛使用在自动检测仪表中,使用该方法实现传感器温度误差补偿,是一条行之有效的途径。

Copyright © 2017-2020 微波EDA网 版权所有

网站地图

Top