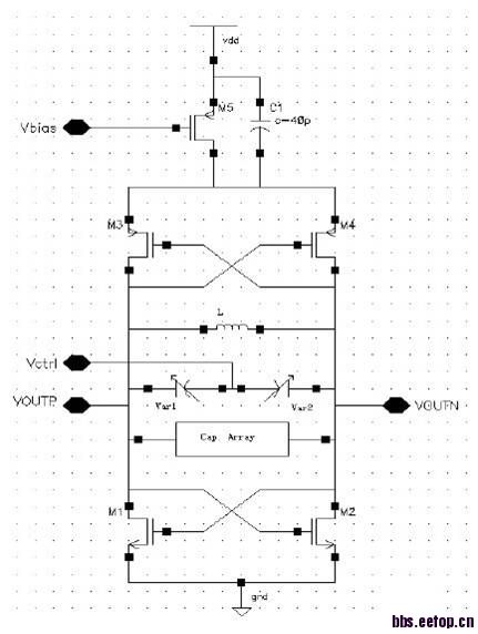
请问一下大牛们这四个mos管的总跨导怎么算呢
时间:10-02
整理:3721RD
点击:
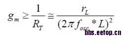
请问这个电路中M1 M2 M3 M4四个MOS管 每个的跨导为gm 那么这四个MOS管的总跨导为多少呢为了让这个VCO能够起震,计算gm的大概值用哪个公司估算呢?是用这个公式吗
?rL是电感寄生电阻
交叉耦合管是正反馈,可以等效为负阻-2/gm,
互补型的,P,N,gm相等的话就等效为-1/gm,
再利用起振条件就可以求出对跨导的要求
请问在实际工程中算起震条件的公式是什么呢?应该不是书上面写的那个吧?
起振条件的gm要求为平衡条件求出的gm的两到三倍吧。
谢了
