如何读取文件(.dat或.csv文件)显示出相应的波形
时间:10-02
整理:3721RD
点击:
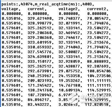
如何读取文件(.dat或.csv文件)显示出相应的波形,文件是由两个电流和两个电压数据组成,如何在一个波形图上显示四个波形?我的vi只能读出第一列的数据,其他三列读不出来,求大神赐教。(注:不知道怎么添加附件文件,不能上传数据文件,只能截取一点数据以图片形式上传,各位大神明白这个意思就好了,就是要每一列数据显示一个波形,谢谢)

各位大神如果能做出个vi就发我邮箱,1135608885@qq.com各种谢
同求,有的话,发给我一份喽,谢谢啦
求各位大神也发一份到我的邮箱939545323@qq.com
