求救~怎么用Labview实现模糊聚类分析中样本相关系数的计算
时间:10-02
整理:3721RD
点击:
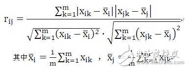
样本相关系数的计算公式见图片
怎么用Labview实现输入统计量,得到样本相关系数
请具体点说明,或者给弄下程序框图,多谢了
SPSS可以实现相关系数计算,可不可以在Labview中对SPSS进行调用什么的
怎么用Labview实现输入统计量,得到样本相关系数
请具体点说明,或者给弄下程序框图,多谢了
SPSS可以实现相关系数计算,可不可以在Labview中对SPSS进行调用什么的

可以用公式节点呀
