阻抗匹配与史密斯(Smith)圆图的基本原理
时间:10-02
整理:3721RD
点击:
在处理RF系统的实际应用问题时,总会遇到一些非常困难的工作,对各部分级联电路的不同阻抗进行匹配就是其中之一一般情况下,需要进行匹配的电路包括天线与低噪声放大器(LNA)之间的匹配功率放大器输出(RFOUT)与天线之间的匹配LNA/VCO输出与混频器输入之间的匹配匹配的目的是为了保证信号或能量有效地从信号源传送到负载。在高频端,寄生元件(比如连线上的电感板层之间的电容和导体的电阻)对匹配网络具有明显的不可预知的影响频率在数十兆赫兹以上时,理论计算和仿真已经远远不能满足要求,为了得到适当的最终结果,还必须考虑在实验室中进行的RF测试并进行适当调谐需要用计算值确定电路的结构类型和相应的目标元件值。有很多种阻抗匹配的方法,包括计算机仿真: 由于这类软件是为不同功能设计的而不只是用于阻抗匹配,所以使用起来比较复杂设计者必须熟悉用正确的格式输入众多的数据设计人员还需要具有从大量的输出结果中找到有用数据的技能另外,除非计算机是专门为这个用途制造的,否则电路仿真软件不可能预装在计算机上。手工计算: 这是一种极其繁琐的方法,因为需要用到较长(几公里)的计算公式并且被处理的数据多为复数。经验: 只有在RF领域工作过多年的人才能使用这种方法总之,它只适合于资深的专家。史密斯圆图:本文要重点讨论的内容。本文的主要目的是复习史密斯圆图的结构和背景知识,并且总结它在实际中的应用方法讨论的主题包括参数的实际范例,比如找出匹配网络元件的数值当然,史密斯圆图不仅能够为我们找出最大功率传输的匹配网络,还能帮助设计者优化噪声系数,确定品质因数的影响以及进行稳定性分析。
图1. 阻抗和史密斯圆图基础基础知识在介绍史密斯圆图的使用之前,最好回顾一下RF环境下(大于100MHz) IC连线的电磁波传播现象这对RS-485传输线PA和天线之间的连接LNA和下变频器/混频器之间的连接等应用都是有效的。大家都知道,要使信号源传送到负载的功率最大,信号源阻抗必须等于负载的共轭阻抗,即:Rs + jXs = RL - jXL
图2. 表达式Rs + jXs = RL - jXL的等效图在这个条件下,从信号源到负载传输的能量最大另外,为有效传输功率,满足这个条件可以避免能量从负载反射到信号源,尤其是在诸如视频传输RF或微波网络的高频应用环境更是如此。史密斯圆图史密斯圆图是由很多圆周交织在一起的一个图正确的使用它,可以在不作任何计算的前提下得到一个表面上看非常复杂的系统的匹配阻抗,唯一需要作的就是沿着圆周线读取并跟踪数据。史密斯圆图是反射系数(伽马,以符号表示)的极座标图反射系数也可以从数学上定义为单端口散射参数,即s11。史密斯圆图是通过验证阻抗匹配的负载产生的这里我们不直接考虑阻抗,而是用反射系数L,反射系数可以反映负载的特性(如导纳增益跨导),在处理RF频率的问题时L更加有用。我们知道反射系数定义为反射波电压与入射波电压之比:
图3. 负载阻抗负载反射信号的强度取决于信号源阻抗与负载阻抗的失配程度反射系数的表达式定义为:
由于阻抗是复数,反射系数也是复数。为了减少未知参数的数量,可以固化一个经常出现并且在应用中经常使用的参数这里Z0 (特性阻抗)通常为常数并且是实数,是常用的归一化标准值,如5075100和600于是我们可以定义归一化的负载阻抗:
据此,将反射系数的公式重新写为:
从上式我们可以看到负载阻抗与其反射系数间的直接关系但是这个关系式是一个复数,所以并不实用我们可以把史密斯圆图当作上述方程的图形表示。为了建立圆图,方程必需重新整理以符合标准几何图形的形式(如圆或射线)。首先,由方程2.3求解出;
并且
令等式2.5的实部和虚部相等,得到两个独立的关系式:
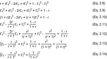
重新整理等式2.6,经过等式2.8至2.13得到最终的方程2.14这个方程是在复平面(r, i)上圆的参数方程(x-a)2 + (y-b) = R,它以(r/r+1, 0)为圆心,半径为1/1+r.
更多细节参见图4a
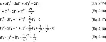
图4a. 圆周上的点表示具有相同实部的阻抗例如,r = 1的圆,以(0.5, 0)为圆心,半径为0.5它包含了代表反射零点的原点(0, 0) (负载与特性阻抗相匹配)以(0, 0)为圆心半径为1的圆代表负载短路负载开路时,圆退化为一个点(以1, 0为圆心,半径为零)与此对应的是最大的反射系数1,即所有的入射波都被反射回来。在作史密斯圆图时,有一些需要注意的问题下面是最重要的几个方面:所有的圆周只有一个相同的,唯一的交点(1, 0)代表0也就是没有电阻(r = 0)的圆是最大的圆无限大的电阻对应的圆退化为一个点(1, 0)实际中没有负的电阻,如果出现负阻值,有可能产生振荡选择一个对应于新电阻值的圆周就等于选择了一个新的电阻作图经过等式2.15至2.18的变换,2.7式可以推导出另一个参数方程,方程2.19。
同样,2.19也是在复平面(r, i)上的圆的参数方程(x-a) + (y-b) = R,它的圆心为(1, 1/x),半径1/x。更多细节参见图4b
图4b. 圆周上的点表示具有相同虚部x的阻抗例如,x = 1的圆以(1, 1)为圆心,半径为1所有的圆(x为常数)都包括点(1, 0)与实部圆周不同的是,x既可以是正数也可以是负数这说明复平面下半部是其上半部的镜像所有圆的圆心都在一条经过横轴上1点的垂直线上。完成圆图为了完成史密斯圆图,我们将两簇圆周放在一起可以发现一簇圆周的所有圆会与另一簇圆周的所有圆相交若已知阻抗为r + jx,只需要找到对应于r和x的两个圆周的交点就可以得到相应的反射系数。可互换性上述过程是可逆的,如果已知反射系数,可以找到两个圆周的交点从而读取相应的r和x的值过程如下:确定阻抗在史密斯圆图上的对应点找到与此阻抗对应的反射系数()已知特性阻抗和,找出阻抗将阻抗转换为导纳找出等效的阻抗找出与反射系数对应的元件值(尤其是匹配网络的元件,见图7)推论因为史密斯圆图是一种基于图形的解法,所得结果的精确度直接依赖于图形的精度下面是一个用史密斯圆图表示的RF应用实例:例: 已知特性阻抗为50,负载阻抗如下:Z1 = 100 + j50Z2 = 75 - j100Z3 = j200Z4 = 150Z5 = (开路)Z6 = 0 (短路)Z7 = 50Z8 = 184 - j900对上面的值进行归一化并标示在圆图中(见图5):z1 = 2 + jz2 = 1.5 - j2z3 = j4z4 = 3z5 = 8z6 = 0z7 = 1z8 = 3.68 - j18
图5. 史密斯圆图上的点现在可以通过图5的圆图直接解出反射系数画出阻抗点(等阻抗圆和等电抗圆的交点),只要读出它们在直角坐标水平轴和垂直轴上的投影,就得到了反射系数的实部r和虚部i (见图6)。该范例中可能存在八种情况,在图6所示史密斯圆图上可以直接得到对应的反射系数:1 = 0.4 + 0.2j2 = 0.51 - 0.4j3 = 0.875 + 0.48j4 = 0.55 = 16 = -17 = 08 = 0.96 - 0.1j
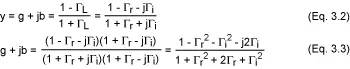
图6. 从X-Y轴直接读出反射系数的实部和虚部用导纳表示史密斯圆图是用阻抗(电阻和电抗)建立的一旦作出了史密斯圆图,就可以用它分析串联和并联情况下的参数可以添加新的串联元件,确定新增元件的影响只需沿着圆周移动到它们相应的数值即可然而,增加并联元件时分析过程就不是这么简单了,需要考虑其它的参数通常,利用导纳更容易处理并联元件。我们知道,根据定义Y = 1/Z,Z = 1/Y导纳的单位是姆欧或者-1 (早些时候导纳的单位是西门子或S)并且,如果Z是复数,则Y也一定是复数。所以Y = G + jB (2.20), 其中G叫作元件的电导,B称电纳在演算的时候应该小心谨慎,按照似乎合乎逻辑的假设,可以得出:G = 1/R及B = 1/X,然而实际情况并非如此,这样计算会导致结果错误。用导纳表示时,第一件要做的事是归一化, y = Y/Y0,得出y = g + jb但是如何计算反射系数呢?通过下面的式子进行推导:
结果是G的表达式符号与z相反,并有(y) = -(z)如果知道z,就能通过将的符号取反找到一个与(0, 0)的距离相等但在反方向的点围绕原点旋转180°可以得到同样的结果(见图7)
图7. 180°度旋转后的结果当然,表面上看新的点好像是一个不同的阻抗,实际上Z和1/Z表示的是同一个元件(在史密斯圆图上,不同的值对应不同的点并具有不同的反射系数,依次类推)出现这种情况的原因是我们的图形本身是一个阻抗图,而新的点代表的是一个导纳因此在圆图上读出的数值单位是姆欧。尽管用这种方法就可以进行转换,但是在解决很多并联元件电路的问题时仍不适用。导纳圆图在前面的讨论中,我们看到阻抗圆图上的每一个点都可以通过以复平面原点为中心旋转180°后得到与之对应的导纳点于是,将整个阻抗圆图旋转180°就得到了导纳圆图这种方法十分方便,它使我们不用建立一个新图所有圆周的交点(等电导圆和等电纳圆)自然出现在点(-1, 0)使用导纳圆图,使得添加并联元件变得很容易在数学上,导纳圆图由下面的公式构造:
解这个方程
接下来,令方程3.3的实部和虚部相等,我们得到两个新的独立的关系:
从等式3.4,我们可以推导出下面的式子:
它也是复平面(r, i)上圆的参数方程(x-a) + (y-b) = R (方程3.12),以(-g/g+1, 0)为圆心,半径为1/(1+g)。从等式3.5,我们可以推导出下面的式子:
同样得到(x-a) + (y-b) = R型的参数方程(方程3.17)求解等效阻抗当解决同时存在串联和并联元件的混合电路时,可以使用同一个史密斯圆图,在需要进行从z到y或从y到z的转换时将图形旋转。考虑图8所示网络(其中的元件以Z0 = 50进行了归一化)串联电抗(x)对电感元件而言为正数,对电容元件而言为负数而电纳(b)对电容元件而言为正数,对电感元件而言为负数。
图8. 一个多元件电路这个电路需要进行简化(见图9)从最右边开始,有一个电阻和一个电感,数值都是1,我们可以在r = 1的圆周和I=1的圆周的交点处得到一个串联等效点,即点A下一个元件是并联元件,我们转到导纳圆图(将整个平面旋转180°),此时需要将前面的那个点变成导纳,记为A'现在我们将平面旋转180°,于是我们在导纳模式下加入并联元件,沿着电导圆逆时针方向(负值)移动距离0.3,得到点B然后又是一个串联元件现在我们再回到阻抗圆图。
图9. 将图8网络中的元件拆开进行分析在返回阻抗圆图之前,还必需把刚才的点转换成阻抗(此前是导纳),变换之后得到的点记为B',用上述方法,将圆图旋转180°回到阻抗模式沿着电阻圆周移动距离1.4得到点C就增加了一个串联元件,注意是逆时针移动(负值)进行同样的操作可增加下一个元件(进行平面旋转变换到导纳),沿着等电导圆顺时针方向(因为是正值)移动指定的距离(1.1)这个点记为D最后,我们回到阻抗模式增加最后一个元件(串联电感)于是我们得到所需的值,z,位于0.2电阻圆和0.5电抗圆的交点至此,得出z = 0.2 + j0.5如果系统的特性阻抗是50,有Z = 10 + j25 (见图10)。
图10. 在史密斯圆图上画出的网络元件逐步进行阻抗匹配史密斯圆图的另一个用处是进行阻抗匹配这和找出一个已知网络的等效阻抗是相反的过程此时,两端(通常是信号源和负载)阻抗是固定的,如图11所示我们的目标是在两者之间插入一个设计好的网络已达到合适的阻抗匹配。
图11. 阻抗已知而元件未知的典型电路初看起来好像并不比找到等效阻抗复杂但是问题在于有无限种元件的组合都可以使匹配网络具有类似的效果,而且还需考虑其它因素(比如滤波器的结构类型品质因数和有限的可选元件)。实现这一目标的方法是在史密斯圆图上不断增加串联和并联元件直到得到我们想要的阻抗从图形上看,就是找到一条途径来连接史密斯圆图上的点同样,说明这种方法的最好办法是给出一个实例。我们的目标是在60MHz工作频率下匹配源阻抗(ZS)和负载阻抗(zL) (见图11)网络结构已经确定为低通,L型(也可以把问题看作是如何使负载转变成数值等于ZS的阻抗,即ZS复共轭)下面是解的过程:
图12. 图11的网络,将其对应的点画在史密斯圆图上要做的第一件事是将各阻抗值归一化如果没有给出特性阻抗,选择一个与负载/信号源的数值在同一量级的阻抗值假设Z0为50于是zS = 0.5 - j0.3, z*S = 0.5 + j0.3, ZL = 2 - j0.5。下一步,在图上标出这两个点,A代表zL,D代表z*S然后判别与负载连接的第一个元件(并联电容),先把zL转化为导纳,得到点A'确定连接电容C后下一个点出现在圆弧上的位置由于不知道C的值,所以我们不知道具体的位置,然而我们确实知道移动的方向并联的电容应该在导纳圆图上沿顺时针方向移动直到找到对应的数值,得到点B (导纳)下一个元件是串联元件,所以必需把B转换到阻抗平面上去,得到B'B'必需和D位于同一个电阻圆上从图形上看,从A'到D只有一条路径,但是如果要经过中间的B点(也就是B'),就需要经过多次的尝试和检验在找到点B和B'后,我们就能够测量A'到B和B'到D的弧长,前者就是C的归一化电纳值,后者为L的归一化电抗值A'到B的弧长为b = 0.78,则B = 0.78 x Y0 = 0.0156姆欧因为C = B,所以C = B/ = B/(2 f) = 0.0156/(2 607) = 41.4pF。B到D的弧长为x = 1.2,于是X = 1.2 x Z0 = 60 由L = X, 得L = X/ = X/(2 f)= 60/(2 607) = 159nH
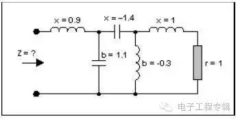
图13. MAX2472典型工作电路第二个例子是MAX2472的输出匹配电路,匹配于50负载阻抗(zL),工作品率为900MHz (图14所示)该网络采用与MAX2472数据资料相同的配置结构,上图给出了匹配网络,包括一个并联电感和串联电容,以下给出了匹配网络元件值的查找过程。
图14. 图13所示网络在史密斯圆a图上的相应工作点首先将S22散射参数转换成等效的归一化源阻抗MAX2472的Z0为50,S22 = 0.81/-29.4°转换成zS = 1.4 - j3.2, zL = 1和zL* = 1。下一步,在圆图上定位两个点,zS标记为A,zL*标记为D因为与信号源连接的是第一个元件是并联电感,将源阻抗转换成导纳,得到点A 。确定连接电感LMATCH后下一个点所在的圆弧,由于不知道LMATCH的数值,因此不能确定圆弧终止的位置但是,我们了解连接LMATCH并将其转换成阻抗后,源阻抗应该位于r = 1的圆周上由此,串联电容后得到的阻抗应该为z = 1 + j0以原点为中心,在r = 1的圆上旋转180°,反射系数圆和等电纳圆的交点结合A点可以得到B (导纳)B点对应的阻抗为B点。找到B和B'后,可以测量圆弧A'B以及圆弧B'D的长度,第一个测量值可以得到LMATCH电纳的归一化值,第二个测量值得到CMATCH电抗的归一化值圆弧A'B的测量值为b = -0.575,B = -0.575 × Y0 = 0.0115mhos因为1/L = B,则LMATCH = 1/B = 1/(B2 f) = 1/(0.01156 × 2 × × 900 × 106) = 15.38nH,近似为15nH圆弧B'D的测量值为X = -2.81,X = -2.81 × Z0 = -140.5因为-1/C = X,则CMATCH = -1/X = -1/(X2 f) = -1/(-140.5 × 2 × × 900 × 106) = 1.259pF,近似为1pF这些计算值没有考虑寄生电感和寄生电容,所得到的数值接近与数据资料中给出的数值: LMATCH = 12nH和CMATCH = 1pF 。总结在拥有功能强大的软件和高速高性能计算机的今天,人们会怀疑在解决电路基本问题的时候是否还需要这样一种基础和初级的方法。实际上,一个真正的工程师不仅应该拥有理论知识,更应该具有利用各种资源解决问题的能力在程序中加入几个数字然后得出结果的确是件容易的事情,当问题的解十分复杂并且不唯一时,让计算机作这样的工作尤其方便然而,如果能够理解计算机的工作平台所使用的基本理论和原理,知道它们的由来,这样的工程师或设计者就能够成为更加全面和值得信赖的专家,得到的结果也更加可靠。长按二维码识别关注
电子路上与你同行!
图1. 阻抗和史密斯圆图基础基础知识在介绍史密斯圆图的使用之前,最好回顾一下RF环境下(大于100MHz) IC连线的电磁波传播现象这对RS-485传输线PA和天线之间的连接LNA和下变频器/混频器之间的连接等应用都是有效的。大家都知道,要使信号源传送到负载的功率最大,信号源阻抗必须等于负载的共轭阻抗,即:Rs + jXs = RL - jXL
图2. 表达式Rs + jXs = RL - jXL的等效图在这个条件下,从信号源到负载传输的能量最大另外,为有效传输功率,满足这个条件可以避免能量从负载反射到信号源,尤其是在诸如视频传输RF或微波网络的高频应用环境更是如此。史密斯圆图史密斯圆图是由很多圆周交织在一起的一个图正确的使用它,可以在不作任何计算的前提下得到一个表面上看非常复杂的系统的匹配阻抗,唯一需要作的就是沿着圆周线读取并跟踪数据。史密斯圆图是反射系数(伽马,以符号表示)的极座标图反射系数也可以从数学上定义为单端口散射参数,即s11。史密斯圆图是通过验证阻抗匹配的负载产生的这里我们不直接考虑阻抗,而是用反射系数L,反射系数可以反映负载的特性(如导纳增益跨导),在处理RF频率的问题时L更加有用。我们知道反射系数定义为反射波电压与入射波电压之比:
图3. 负载阻抗负载反射信号的强度取决于信号源阻抗与负载阻抗的失配程度反射系数的表达式定义为:
由于阻抗是复数,反射系数也是复数。为了减少未知参数的数量,可以固化一个经常出现并且在应用中经常使用的参数这里Z0 (特性阻抗)通常为常数并且是实数,是常用的归一化标准值,如5075100和600于是我们可以定义归一化的负载阻抗:
据此,将反射系数的公式重新写为:
从上式我们可以看到负载阻抗与其反射系数间的直接关系但是这个关系式是一个复数,所以并不实用我们可以把史密斯圆图当作上述方程的图形表示。为了建立圆图,方程必需重新整理以符合标准几何图形的形式(如圆或射线)。首先,由方程2.3求解出;
并且
令等式2.5的实部和虚部相等,得到两个独立的关系式:
重新整理等式2.6,经过等式2.8至2.13得到最终的方程2.14这个方程是在复平面(r, i)上圆的参数方程(x-a)2 + (y-b) = R,它以(r/r+1, 0)为圆心,半径为1/1+r.
更多细节参见图4a
图4a. 圆周上的点表示具有相同实部的阻抗例如,r = 1的圆,以(0.5, 0)为圆心,半径为0.5它包含了代表反射零点的原点(0, 0) (负载与特性阻抗相匹配)以(0, 0)为圆心半径为1的圆代表负载短路负载开路时,圆退化为一个点(以1, 0为圆心,半径为零)与此对应的是最大的反射系数1,即所有的入射波都被反射回来。在作史密斯圆图时,有一些需要注意的问题下面是最重要的几个方面:所有的圆周只有一个相同的,唯一的交点(1, 0)代表0也就是没有电阻(r = 0)的圆是最大的圆无限大的电阻对应的圆退化为一个点(1, 0)实际中没有负的电阻,如果出现负阻值,有可能产生振荡选择一个对应于新电阻值的圆周就等于选择了一个新的电阻作图经过等式2.15至2.18的变换,2.7式可以推导出另一个参数方程,方程2.19。
同样,2.19也是在复平面(r, i)上的圆的参数方程(x-a) + (y-b) = R,它的圆心为(1, 1/x),半径1/x。更多细节参见图4b
图4b. 圆周上的点表示具有相同虚部x的阻抗例如,x = 1的圆以(1, 1)为圆心,半径为1所有的圆(x为常数)都包括点(1, 0)与实部圆周不同的是,x既可以是正数也可以是负数这说明复平面下半部是其上半部的镜像所有圆的圆心都在一条经过横轴上1点的垂直线上。完成圆图为了完成史密斯圆图,我们将两簇圆周放在一起可以发现一簇圆周的所有圆会与另一簇圆周的所有圆相交若已知阻抗为r + jx,只需要找到对应于r和x的两个圆周的交点就可以得到相应的反射系数。可互换性上述过程是可逆的,如果已知反射系数,可以找到两个圆周的交点从而读取相应的r和x的值过程如下:确定阻抗在史密斯圆图上的对应点找到与此阻抗对应的反射系数()已知特性阻抗和,找出阻抗将阻抗转换为导纳找出等效的阻抗找出与反射系数对应的元件值(尤其是匹配网络的元件,见图7)推论因为史密斯圆图是一种基于图形的解法,所得结果的精确度直接依赖于图形的精度下面是一个用史密斯圆图表示的RF应用实例:例: 已知特性阻抗为50,负载阻抗如下:Z1 = 100 + j50Z2 = 75 - j100Z3 = j200Z4 = 150Z5 = (开路)Z6 = 0 (短路)Z7 = 50Z8 = 184 - j900对上面的值进行归一化并标示在圆图中(见图5):z1 = 2 + jz2 = 1.5 - j2z3 = j4z4 = 3z5 = 8z6 = 0z7 = 1z8 = 3.68 - j18
图5. 史密斯圆图上的点现在可以通过图5的圆图直接解出反射系数画出阻抗点(等阻抗圆和等电抗圆的交点),只要读出它们在直角坐标水平轴和垂直轴上的投影,就得到了反射系数的实部r和虚部i (见图6)。该范例中可能存在八种情况,在图6所示史密斯圆图上可以直接得到对应的反射系数:1 = 0.4 + 0.2j2 = 0.51 - 0.4j3 = 0.875 + 0.48j4 = 0.55 = 16 = -17 = 08 = 0.96 - 0.1j
图6. 从X-Y轴直接读出反射系数的实部和虚部用导纳表示史密斯圆图是用阻抗(电阻和电抗)建立的一旦作出了史密斯圆图,就可以用它分析串联和并联情况下的参数可以添加新的串联元件,确定新增元件的影响只需沿着圆周移动到它们相应的数值即可然而,增加并联元件时分析过程就不是这么简单了,需要考虑其它的参数通常,利用导纳更容易处理并联元件。我们知道,根据定义Y = 1/Z,Z = 1/Y导纳的单位是姆欧或者-1 (早些时候导纳的单位是西门子或S)并且,如果Z是复数,则Y也一定是复数。所以Y = G + jB (2.20), 其中G叫作元件的电导,B称电纳在演算的时候应该小心谨慎,按照似乎合乎逻辑的假设,可以得出:G = 1/R及B = 1/X,然而实际情况并非如此,这样计算会导致结果错误。用导纳表示时,第一件要做的事是归一化, y = Y/Y0,得出y = g + jb但是如何计算反射系数呢?通过下面的式子进行推导:
结果是G的表达式符号与z相反,并有(y) = -(z)如果知道z,就能通过将的符号取反找到一个与(0, 0)的距离相等但在反方向的点围绕原点旋转180°可以得到同样的结果(见图7)
图7. 180°度旋转后的结果当然,表面上看新的点好像是一个不同的阻抗,实际上Z和1/Z表示的是同一个元件(在史密斯圆图上,不同的值对应不同的点并具有不同的反射系数,依次类推)出现这种情况的原因是我们的图形本身是一个阻抗图,而新的点代表的是一个导纳因此在圆图上读出的数值单位是姆欧。尽管用这种方法就可以进行转换,但是在解决很多并联元件电路的问题时仍不适用。导纳圆图在前面的讨论中,我们看到阻抗圆图上的每一个点都可以通过以复平面原点为中心旋转180°后得到与之对应的导纳点于是,将整个阻抗圆图旋转180°就得到了导纳圆图这种方法十分方便,它使我们不用建立一个新图所有圆周的交点(等电导圆和等电纳圆)自然出现在点(-1, 0)使用导纳圆图,使得添加并联元件变得很容易在数学上,导纳圆图由下面的公式构造:
解这个方程
接下来,令方程3.3的实部和虚部相等,我们得到两个新的独立的关系:
从等式3.4,我们可以推导出下面的式子:
它也是复平面(r, i)上圆的参数方程(x-a) + (y-b) = R (方程3.12),以(-g/g+1, 0)为圆心,半径为1/(1+g)。从等式3.5,我们可以推导出下面的式子:
同样得到(x-a) + (y-b) = R型的参数方程(方程3.17)求解等效阻抗当解决同时存在串联和并联元件的混合电路时,可以使用同一个史密斯圆图,在需要进行从z到y或从y到z的转换时将图形旋转。考虑图8所示网络(其中的元件以Z0 = 50进行了归一化)串联电抗(x)对电感元件而言为正数,对电容元件而言为负数而电纳(b)对电容元件而言为正数,对电感元件而言为负数。
图8. 一个多元件电路这个电路需要进行简化(见图9)从最右边开始,有一个电阻和一个电感,数值都是1,我们可以在r = 1的圆周和I=1的圆周的交点处得到一个串联等效点,即点A下一个元件是并联元件,我们转到导纳圆图(将整个平面旋转180°),此时需要将前面的那个点变成导纳,记为A'现在我们将平面旋转180°,于是我们在导纳模式下加入并联元件,沿着电导圆逆时针方向(负值)移动距离0.3,得到点B然后又是一个串联元件现在我们再回到阻抗圆图。
图9. 将图8网络中的元件拆开进行分析在返回阻抗圆图之前,还必需把刚才的点转换成阻抗(此前是导纳),变换之后得到的点记为B',用上述方法,将圆图旋转180°回到阻抗模式沿着电阻圆周移动距离1.4得到点C就增加了一个串联元件,注意是逆时针移动(负值)进行同样的操作可增加下一个元件(进行平面旋转变换到导纳),沿着等电导圆顺时针方向(因为是正值)移动指定的距离(1.1)这个点记为D最后,我们回到阻抗模式增加最后一个元件(串联电感)于是我们得到所需的值,z,位于0.2电阻圆和0.5电抗圆的交点至此,得出z = 0.2 + j0.5如果系统的特性阻抗是50,有Z = 10 + j25 (见图10)。
图10. 在史密斯圆图上画出的网络元件逐步进行阻抗匹配史密斯圆图的另一个用处是进行阻抗匹配这和找出一个已知网络的等效阻抗是相反的过程此时,两端(通常是信号源和负载)阻抗是固定的,如图11所示我们的目标是在两者之间插入一个设计好的网络已达到合适的阻抗匹配。
图11. 阻抗已知而元件未知的典型电路初看起来好像并不比找到等效阻抗复杂但是问题在于有无限种元件的组合都可以使匹配网络具有类似的效果,而且还需考虑其它因素(比如滤波器的结构类型品质因数和有限的可选元件)。实现这一目标的方法是在史密斯圆图上不断增加串联和并联元件直到得到我们想要的阻抗从图形上看,就是找到一条途径来连接史密斯圆图上的点同样,说明这种方法的最好办法是给出一个实例。我们的目标是在60MHz工作频率下匹配源阻抗(ZS)和负载阻抗(zL) (见图11)网络结构已经确定为低通,L型(也可以把问题看作是如何使负载转变成数值等于ZS的阻抗,即ZS复共轭)下面是解的过程:
图12. 图11的网络,将其对应的点画在史密斯圆图上要做的第一件事是将各阻抗值归一化如果没有给出特性阻抗,选择一个与负载/信号源的数值在同一量级的阻抗值假设Z0为50于是zS = 0.5 - j0.3, z*S = 0.5 + j0.3, ZL = 2 - j0.5。下一步,在图上标出这两个点,A代表zL,D代表z*S然后判别与负载连接的第一个元件(并联电容),先把zL转化为导纳,得到点A'确定连接电容C后下一个点出现在圆弧上的位置由于不知道C的值,所以我们不知道具体的位置,然而我们确实知道移动的方向并联的电容应该在导纳圆图上沿顺时针方向移动直到找到对应的数值,得到点B (导纳)下一个元件是串联元件,所以必需把B转换到阻抗平面上去,得到B'B'必需和D位于同一个电阻圆上从图形上看,从A'到D只有一条路径,但是如果要经过中间的B点(也就是B'),就需要经过多次的尝试和检验在找到点B和B'后,我们就能够测量A'到B和B'到D的弧长,前者就是C的归一化电纳值,后者为L的归一化电抗值A'到B的弧长为b = 0.78,则B = 0.78 x Y0 = 0.0156姆欧因为C = B,所以C = B/ = B/(2 f) = 0.0156/(2 607) = 41.4pF。B到D的弧长为x = 1.2,于是X = 1.2 x Z0 = 60 由L = X, 得L = X/ = X/(2 f)= 60/(2 607) = 159nH
图13. MAX2472典型工作电路第二个例子是MAX2472的输出匹配电路,匹配于50负载阻抗(zL),工作品率为900MHz (图14所示)该网络采用与MAX2472数据资料相同的配置结构,上图给出了匹配网络,包括一个并联电感和串联电容,以下给出了匹配网络元件值的查找过程。
图14. 图13所示网络在史密斯圆a图上的相应工作点首先将S22散射参数转换成等效的归一化源阻抗MAX2472的Z0为50,S22 = 0.81/-29.4°转换成zS = 1.4 - j3.2, zL = 1和zL* = 1。下一步,在圆图上定位两个点,zS标记为A,zL*标记为D因为与信号源连接的是第一个元件是并联电感,将源阻抗转换成导纳,得到点A 。确定连接电感LMATCH后下一个点所在的圆弧,由于不知道LMATCH的数值,因此不能确定圆弧终止的位置但是,我们了解连接LMATCH并将其转换成阻抗后,源阻抗应该位于r = 1的圆周上由此,串联电容后得到的阻抗应该为z = 1 + j0以原点为中心,在r = 1的圆上旋转180°,反射系数圆和等电纳圆的交点结合A点可以得到B (导纳)B点对应的阻抗为B点。找到B和B'后,可以测量圆弧A'B以及圆弧B'D的长度,第一个测量值可以得到LMATCH电纳的归一化值,第二个测量值得到CMATCH电抗的归一化值圆弧A'B的测量值为b = -0.575,B = -0.575 × Y0 = 0.0115mhos因为1/L = B,则LMATCH = 1/B = 1/(B2 f) = 1/(0.01156 × 2 × × 900 × 106) = 15.38nH,近似为15nH圆弧B'D的测量值为X = -2.81,X = -2.81 × Z0 = -140.5因为-1/C = X,则CMATCH = -1/X = -1/(X2 f) = -1/(-140.5 × 2 × × 900 × 106) = 1.259pF,近似为1pF这些计算值没有考虑寄生电感和寄生电容,所得到的数值接近与数据资料中给出的数值: LMATCH = 12nH和CMATCH = 1pF 。总结在拥有功能强大的软件和高速高性能计算机的今天,人们会怀疑在解决电路基本问题的时候是否还需要这样一种基础和初级的方法。实际上,一个真正的工程师不仅应该拥有理论知识,更应该具有利用各种资源解决问题的能力在程序中加入几个数字然后得出结果的确是件容易的事情,当问题的解十分复杂并且不唯一时,让计算机作这样的工作尤其方便然而,如果能够理解计算机的工作平台所使用的基本理论和原理,知道它们的由来,这样的工程师或设计者就能够成为更加全面和值得信赖的专家,得到的结果也更加可靠。长按二维码识别关注
电子路上与你同行!
