FEKO 算同一个物体的近场和远场散射虚部无法匹配
时间:10-02
整理:3721RD
点击:
我在使用FEKO软件计算同一物体的电场时,碰到了一个矛盾的问题。就是近场和远场算法的结果不匹配。
当距离足够远的时候,用近场算法得到的结果应该和远场是匹配的。当然中间差一个转换因子。
理论上,远场的结果乘以exp(-jkr)/r就应该等等于近场的结果。这一点也和FEKO远场输出文件中的描述吻合,即
VALUES OF THE SCATTERED ELECTRIC FIELD STRENGTH IN THE FAR FIELD in V
Factor e^(-j*BETA*R)/R not considered
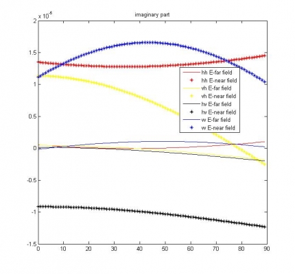
然而在我把远场按上述方法换成近场以后,比较发现,实部基本可以较好吻合,而虚部却牛头不对马嘴。无法理解,希望有高手能够指教。谢谢!
最后的结果图如下

实部 虚部下面是我的参数配置和比较结果。
散射体:半径1cm高2cm的圆柱。中心在原点处。 散射体介质参数
入射波参数 散射角参数
下面是pre文件代码
把Far FF选项卡注释取消并注释FE选项卡即输出远场结果
** PREFEKO input file generated by CADFEKO version 5.0.124623
** Import mesh model
IN 8 31 "cyl1_1.cfm"
** End of geometry
EG: 1 : 0 : 0 : : : 1e-06 : 1 : 1 : : 0 : 0 : 0 : 1
** Set medium properties, coatings and skin effects
DI: diel_leaf : : : : : 28 : 1 : : 0 : 0.5 : 1000
** Set frequency
FR: : : : : : 1260000000
** Sources
** A0: 0 : :1 :1 : :1 :0 :30 :0 :0 :0 :0 :0 ** incVV
A0: 0 : :1 :1 : :1 :0 :30 :0 :-90 :0 :0 :0 ** incHH
** Total source power
** use defaults
** Requested output
DA: : : : 0
** Near field: scat
DA: 0 : 0 : : : : : : 0
OF: 1 : 0 : : : : 0 : 0 : 0
FE: -1 : 1 : 90 : 1 : 2 : 20 : 1 : 40 : 0 : 1 : 0 ** scat**
** FF: -1 : 90 : 1 : 0 : :0 :40: 1 : 0 ** scat
** End of file
EN
** CADFEKO Checksum: 5149f6a2712da459b69303b0646c0bc3

FEKO计算近场时,幅度的模没问题,相位似乎不对。
尤其在近场中,如果采取球坐标rh,rv方向不知是何原因
一般来讲,近场中有大量的无功成份,其强度大约与r的六次方成反比,而远场则与r的平方成反比。远近场的交界处约在波长的2*pi分之一处。近场的无功成分不参与辐射,所以远场的结果不能用近场的结果乘以exp(-jkr)/r来表示。
FEKO 本人不懂,但从你计算的结果看应该与实际并不矛盾。
转换没问题,因为我的近场设置也很远20m,波长才20cm。原来补偿以后。FEKO近远场查个恒定相位,21°左右,现在都对上了。可惜回复不能发图片
转换没问题,因为我的近场设置也很远20m,波长才20cm。原来补偿以后。FEKO近远场查个恒定相位,21°左右,现在都对上了。可惜回复不能发图片
回复可以发图片,上传即可
问题提的很认真,值得鼓励
