教你如何计算CST中的品质因数Q值
时间:10-02
整理:3721RD
点击:
先介绍 Q 值最根本的定义,然后在CST 中通过计算群时延得到Q 值。接着利用人们熟悉的电路原理,通过谐振电路计算Q 值,并证明CST 中的Q 值等于电路中的有载Q 值。在串联谐振回路里带宽BW和Q 值之间的关系是互为倒数,这也将在文章中推导。
最后利用 CST 自带的算例计算贴片天线的Q 值。
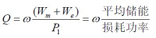
1) 从 Q 值定义开始
最初始的 Q 值定义就是:
2) CST 中的Q 值计算
群延时 GD 的定义:



3) 电路中的 Q 值计算

5) 贴片天线的 Q 值
举例计算天线的 Q 值。从CST 自带的例子中选择一个贴片天线。利用CST 的宏命令计算天线的群延迟,进而得到天线的Q 值。
下面的界面可通过该路经得到:Help→ Help Contents→Tutorials Overview→ CST MICROWAVE STUDIO®Tutorials Overview

该 CST 自带的例子贴片天线,仿真频率2-3GHz。仿真后得到天线的S 参量信息如下:在2.4GHz 的频率下产生谐振峰值。


计算群延时的界面可通过下面的路经得到:Macors→Filter Analysis→Group Delay Computation.

Group Delay 及Q 值计算对话框如下所示, 在Group Delay 对话框中选择输入、输出端口和端口模式后点击“OK”按钮即可获得该端口模式激励下天线的Q 值。


计算结束后,弹出对话框提示已经完成计算,点击“确定”按钮关闭对话框,并关闭GroupDelay 对话框。查看结果时,可参照下面路径:
导航树中将自动得到计算的群延时和 Q 值等结果,查看Q 值可选择:1D Results→Group Delay Time→Qe_p1(1)1(1)
最后利用 CST 自带的算例计算贴片天线的Q 值。
1) 从 Q 值定义开始
最初始的 Q 值定义就是:

2) CST 中的Q 值计算
群延时 GD 的定义:



3) 电路中的 Q 值计算

5) 贴片天线的 Q 值
举例计算天线的 Q 值。从CST 自带的例子中选择一个贴片天线。利用CST 的宏命令计算天线的群延迟,进而得到天线的Q 值。
下面的界面可通过该路经得到:Help→ Help Contents→Tutorials Overview→ CST MICROWAVE STUDIO®Tutorials Overview

该 CST 自带的例子贴片天线,仿真频率2-3GHz。仿真后得到天线的S 参量信息如下:在2.4GHz 的频率下产生谐振峰值。


计算群延时的界面可通过下面的路经得到:Macors→Filter Analysis→Group Delay Computation.

Group Delay 及Q 值计算对话框如下所示, 在Group Delay 对话框中选择输入、输出端口和端口模式后点击“OK”按钮即可获得该端口模式激励下天线的Q 值。


计算结束后,弹出对话框提示已经完成计算,点击“确定”按钮关闭对话框,并关闭GroupDelay 对话框。查看结果时,可参照下面路径:
导航树中将自动得到计算的群延时和 Q 值等结果,查看Q 值可选择:1D Results→Group Delay Time→Qe_p1(1)1(1)
弄这个还真费劲啊
你辛苦了……
这个用过CST的人,我想基本上都会用吧
新手FAQ,期待高手制作相关的教程或实例
最近狂补cst
