基于小波包络差异性的数字调制方式识别技术的研究
时间:10-02
整理:3721RD
点击:
0 引言
当代无线通信领域环境日益复杂,如何对待识别信号,准确获取其调制方式,已成为军事和民用无线通信的难题。近几年,关于信号调制识别问题分为两类解决方法:基于决策论识别方法和基于特征识别方法[1]。小波变换实时性强且小波新特征的分析是目前研究的热点。文献[2]根据OFDM信号小波包分解系数的特点提出重构信号的二范数为识别参数。文献[3]提出一种基于小波能谱熵和小波时间熵相邻尖峰的最小距离的码元速率估计算法。文献[4]利用小波系数的稀疏性实现了数字调制方式的类间识别。文献[5]通过分析Haar小波脊线拟合函数相位解决了干扰环境下MPSK类内识别问题。文献[6]根据归一化前后小波变换模值为多级函数或单值函数对数字信号调制方式进行分类。
上述方法对小波域的新特征进行了深入研究,但是上述算法要么是在高信噪比下能达到识别效果,要么是所需计算量较大。为此,本文根据统计学中变异系数公式和相似性度量函数公式提出一种新的识别算法。仿真结果表明,该算法能有效实现数字信号的调制方式识别。
1 基础知识
1.1 连续小波变换
连续小波变换(CWT)定义为:
1.2 调制信号的小波变换
MASK、MFSK、MPSK和MQAM 4种调制方式,进行小波变换后为:
2 识别方法
2.1 调制信号类间的识别
由式(2)~(5)可看出小波变换取其包络后MASK、MQAM包括幅度变化,而MFSK、MPSK不包含,因此对信号进行归一化函数处理,定义为:

本文选取小波尺度范围为1~8,从中选择最优尺度得到最优特征。数字调制信号在小波尺度3无噪声干扰时归一化前后小波包络如图1所示。
MASK、MQAM在归一化前后离散程度发生变化,相似度较低;MFSK、MPSK在归一化前后从整体上看离散程度无变化,相似度较高。本文根据归一化前后小波包络的差异性提出小波变异系数差值和小波相似度特征。
统计学中,变异系数(CV)定义为标准差与平均值的比值。本文将归一化后小波变换包络的CV与归一化前小波变换包络的CV的差值定义为小波变异系数差值,即:
统计学中,判定系数即皮尔逊积矩相关ρW1W2的平方,本文用其衡量归一化前后小波变换包络之间的相似度,则W1、W2的相似度表达式为:
其中COV(W1,W2)表示W1与W2的协方差,D(W1)与D(W2)分别为W1与W2的方差。
2.2 调制信号类内的识别
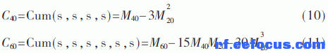
由MFSK未归一化小波变换包络的标准差值的不同,可以对其类内阶数进行分类;由MASK、MPSK高阶累积量特征值的不同,可以实现对其类内进行识别,以下为信号四阶、六阶累积量的定义:


2.3 算法步骤描述
(1)令数字调制信号进行希尔伯特变换得到复信号,为了消除信号能量对判决的影响,再对其进行功率归一化。然后对所得信号进行幅度归一化,得到幅度归一化前后的两路信号,两路信号均进行Haar小波变换,分别取其小波系数的包络进行中值滤波。
(2)在步骤(1)的基础上构建|ΔCV|尺度4为识别特征1,对{MASK、MQAM}和{MFSK、MPSK}进行分类。
(3)在步骤(1)的基础上构建R尺度4为识别特征2,对MFSK和MPSK进行分类。
(4)在步骤(1)的基础上构建R尺度3为识别特征3,对MASK和MQAM进行分类。
(5)在完成步骤(2)~(4)类间识别基础上选择未归一化小波变换包络的标准差σ尺度4作为特征4,对MFSK类内进行识别;选择四阶累积量值|C40|作为特征5对MPSK类内阶数进行识别;选择六阶累积量值|C60|作为特征6对MASK类内调制方式进行识别。算法流程如图2所示。
3 实验仿真及分析
3.1 识别特征的稳定性
基于MATLAB环境,本文选取10种数字调制信号分别为2ASK、4ASK、8ASK、2FSK、4FSK、8FSK、2PSK、4PSK、8PSK、16QAM。仿真参数设定为:fc=20 kHz,fs=200 kHz,RB=1 kb/s,码元个数100,MFSK信号载波频率设定为f1=5 kHz,f2=10 kHz,f3=15 kHz,f4=20 kHz,f5=25 kHz,f6=30 kHz,f7=35 kHz,f8=40 kHz,加性高斯白噪声,信噪比从0 dB~20 dB的条件下每信噪比分别进行500次实验,信号参数特征变化曲线如图3~图8所示。
由图3~图5可看出,本文选取特征参数十分稳定。由图3设定门限th1,大于门限值为MASK和MQAM,小于门限值为MFSK和MPSK;图4中 MFSK的相似度比MPSK更高,经仿真验证在小波尺度为4时差距达到最优,从而利用特征2与门限th2比较,大于门限值则判定为MFSK信号,小于门限值则判定为MPSK信号;图5验证了 MASK的小波相似度高于MQAM,在小波尺度为3时差距达到最优,利用特征3与门限th3比较,大于门限值则判定为MASK信号,小于门限值则判定为MQAM信号。
由图6~图8可看出,本文选取的特征参数在信噪比区间内十分稳定。根据图6设定判决门限th4、th5,小于门限th4则判为2FSK,大于门限th5则判为8FSK,两个门限之间则判为4FSK;根据图7设定判决门限th6、th7,大于门限th6则判为2PSK,小于门限th5则判为8PSK,两个门限之间则判为4PSK;根据图8设定判决门限th8、th9,大于门限th8则判为2ASK,小于门限th9则判为8ASK,两个门限之间则判为4ASK。
3.2 识别效果仿真
基于决策树判决的调制识别方式简单快捷,通过分析各个特征参数的仿真曲线图可设定门限值,分别为th1=0.1,th2=0.258 9,th3=0.024 9,th4=0.146 0,th5=0.306 5,th6=1.5,th7=0.5,th8=12,th9=6,以1 dB为间隔在信噪比为0 dB~20 dB的条件下,每种信号分别进行500次仿真,数字调制信号的类间、类内识别效果如图9、图10所示。
图9为数字调制信号进行类间分类后的识别率图,与文献[6]比较,文献[6]在信噪比为10 dB时MASK、MFSK、MPSK、MQAM信号类间识别率分别达到99%、100%、99%、98%,而本文方法在3dB时即可分别达到97%、98%、100%、98%,在低信噪比时识别效果较好。
图10为数字调制信号进行类内分类后的识别率图,文献[7]在信噪比高于5 dB时调制信号识别率接近90%,而本文算法在3 dB时识别率均在92.39%以上,识别效果明显较好,从而验证了本文所提特征的有效性。
4 总结
本文根据归一化前后小波变换包络之间的差异性,提出了基于小波变异系数差值、小波相似度特征参数的算法,实现了数字信号调制方式的识别。并且,本文提出的新特征完全可以推广到其他小波尺度中继续研究,具有广泛的应用前景。仿真结果表明,该算法简单易行,适用范围广,在信噪比高于2 dB情况下能有效地识别数字信号的调制方式。
参考文献
[1] 吕圆圆.复杂电磁环境下的数字调制方式识别研究[D].北京:北京邮电大学,2015.
[2] 陈宜文,许斌,郝建华,等.电力线噪声信道下基于小波包变换的OFDM信号检测[J].电子测量技术,2015,38(12):111-115.
[3] 康健,林云,杜浩,等.基于小波熵的BPSK信号码元速率估计算法[J].哈尔滨商业大学学报(自然科学版),2015,31(2):228-231.
[4] 赵知劲,胡俊伟.基于小波系数稀疏性的数字调制样式识别[J].杭州电子科技大学学报,2014,34(2):16-19.
[5] 王铁铸.干扰条件下正弦类Haar小波MPSK信号识别分析[J].现代电子技术,2014,37(23):54-57.
[6] 范真真,朱立忠,张笑宇,等.一种小波变换的数字信号调制方式识别方法研究[J].沈阳理工大学学报,2015,34(3):10-15,23.
[7] 薛伟,钱平.基于小波变换和神经网络模型的数字调制识别方法[J].计算机应用与软件,2012,29(8):210-213.
当代无线通信领域环境日益复杂,如何对待识别信号,准确获取其调制方式,已成为军事和民用无线通信的难题。近几年,关于信号调制识别问题分为两类解决方法:基于决策论识别方法和基于特征识别方法[1]。小波变换实时性强且小波新特征的分析是目前研究的热点。文献[2]根据OFDM信号小波包分解系数的特点提出重构信号的二范数为识别参数。文献[3]提出一种基于小波能谱熵和小波时间熵相邻尖峰的最小距离的码元速率估计算法。文献[4]利用小波系数的稀疏性实现了数字调制方式的类间识别。文献[5]通过分析Haar小波脊线拟合函数相位解决了干扰环境下MPSK类内识别问题。文献[6]根据归一化前后小波变换模值为多级函数或单值函数对数字信号调制方式进行分类。
上述方法对小波域的新特征进行了深入研究,但是上述算法要么是在高信噪比下能达到识别效果,要么是所需计算量较大。为此,本文根据统计学中变异系数公式和相似性度量函数公式提出一种新的识别算法。仿真结果表明,该算法能有效实现数字信号的调制方式识别。
1 基础知识
1.1 连续小波变换
连续小波变换(CWT)定义为:

1.2 调制信号的小波变换
MASK、MFSK、MPSK和MQAM 4种调制方式,进行小波变换后为:


2 识别方法
2.1 调制信号类间的识别
由式(2)~(5)可看出小波变换取其包络后MASK、MQAM包括幅度变化,而MFSK、MPSK不包含,因此对信号进行归一化函数处理,定义为:

本文选取小波尺度范围为1~8,从中选择最优尺度得到最优特征。数字调制信号在小波尺度3无噪声干扰时归一化前后小波包络如图1所示。

MASK、MQAM在归一化前后离散程度发生变化,相似度较低;MFSK、MPSK在归一化前后从整体上看离散程度无变化,相似度较高。本文根据归一化前后小波包络的差异性提出小波变异系数差值和小波相似度特征。
统计学中,变异系数(CV)定义为标准差与平均值的比值。本文将归一化后小波变换包络的CV与归一化前小波变换包络的CV的差值定义为小波变异系数差值,即:

统计学中,判定系数即皮尔逊积矩相关ρW1W2的平方,本文用其衡量归一化前后小波变换包络之间的相似度,则W1、W2的相似度表达式为:
其中COV(W1,W2)表示W1与W2的协方差,D(W1)与D(W2)分别为W1与W2的方差。
2.2 调制信号类内的识别
由MFSK未归一化小波变换包络的标准差值的不同,可以对其类内阶数进行分类;由MASK、MPSK高阶累积量特征值的不同,可以实现对其类内进行识别,以下为信号四阶、六阶累积量的定义:


2.3 算法步骤描述
(1)令数字调制信号进行希尔伯特变换得到复信号,为了消除信号能量对判决的影响,再对其进行功率归一化。然后对所得信号进行幅度归一化,得到幅度归一化前后的两路信号,两路信号均进行Haar小波变换,分别取其小波系数的包络进行中值滤波。
(2)在步骤(1)的基础上构建|ΔCV|尺度4为识别特征1,对{MASK、MQAM}和{MFSK、MPSK}进行分类。
(3)在步骤(1)的基础上构建R尺度4为识别特征2,对MFSK和MPSK进行分类。
(4)在步骤(1)的基础上构建R尺度3为识别特征3,对MASK和MQAM进行分类。
(5)在完成步骤(2)~(4)类间识别基础上选择未归一化小波变换包络的标准差σ尺度4作为特征4,对MFSK类内进行识别;选择四阶累积量值|C40|作为特征5对MPSK类内阶数进行识别;选择六阶累积量值|C60|作为特征6对MASK类内调制方式进行识别。算法流程如图2所示。

3 实验仿真及分析
3.1 识别特征的稳定性
基于MATLAB环境,本文选取10种数字调制信号分别为2ASK、4ASK、8ASK、2FSK、4FSK、8FSK、2PSK、4PSK、8PSK、16QAM。仿真参数设定为:fc=20 kHz,fs=200 kHz,RB=1 kb/s,码元个数100,MFSK信号载波频率设定为f1=5 kHz,f2=10 kHz,f3=15 kHz,f4=20 kHz,f5=25 kHz,f6=30 kHz,f7=35 kHz,f8=40 kHz,加性高斯白噪声,信噪比从0 dB~20 dB的条件下每信噪比分别进行500次实验,信号参数特征变化曲线如图3~图8所示。






由图3~图5可看出,本文选取特征参数十分稳定。由图3设定门限th1,大于门限值为MASK和MQAM,小于门限值为MFSK和MPSK;图4中 MFSK的相似度比MPSK更高,经仿真验证在小波尺度为4时差距达到最优,从而利用特征2与门限th2比较,大于门限值则判定为MFSK信号,小于门限值则判定为MPSK信号;图5验证了 MASK的小波相似度高于MQAM,在小波尺度为3时差距达到最优,利用特征3与门限th3比较,大于门限值则判定为MASK信号,小于门限值则判定为MQAM信号。
由图6~图8可看出,本文选取的特征参数在信噪比区间内十分稳定。根据图6设定判决门限th4、th5,小于门限th4则判为2FSK,大于门限th5则判为8FSK,两个门限之间则判为4FSK;根据图7设定判决门限th6、th7,大于门限th6则判为2PSK,小于门限th5则判为8PSK,两个门限之间则判为4PSK;根据图8设定判决门限th8、th9,大于门限th8则判为2ASK,小于门限th9则判为8ASK,两个门限之间则判为4ASK。
3.2 识别效果仿真
基于决策树判决的调制识别方式简单快捷,通过分析各个特征参数的仿真曲线图可设定门限值,分别为th1=0.1,th2=0.258 9,th3=0.024 9,th4=0.146 0,th5=0.306 5,th6=1.5,th7=0.5,th8=12,th9=6,以1 dB为间隔在信噪比为0 dB~20 dB的条件下,每种信号分别进行500次仿真,数字调制信号的类间、类内识别效果如图9、图10所示。


图9为数字调制信号进行类间分类后的识别率图,与文献[6]比较,文献[6]在信噪比为10 dB时MASK、MFSK、MPSK、MQAM信号类间识别率分别达到99%、100%、99%、98%,而本文方法在3dB时即可分别达到97%、98%、100%、98%,在低信噪比时识别效果较好。
图10为数字调制信号进行类内分类后的识别率图,文献[7]在信噪比高于5 dB时调制信号识别率接近90%,而本文算法在3 dB时识别率均在92.39%以上,识别效果明显较好,从而验证了本文所提特征的有效性。
4 总结
本文根据归一化前后小波变换包络之间的差异性,提出了基于小波变异系数差值、小波相似度特征参数的算法,实现了数字信号调制方式的识别。并且,本文提出的新特征完全可以推广到其他小波尺度中继续研究,具有广泛的应用前景。仿真结果表明,该算法简单易行,适用范围广,在信噪比高于2 dB情况下能有效地识别数字信号的调制方式。
参考文献
[1] 吕圆圆.复杂电磁环境下的数字调制方式识别研究[D].北京:北京邮电大学,2015.
[2] 陈宜文,许斌,郝建华,等.电力线噪声信道下基于小波包变换的OFDM信号检测[J].电子测量技术,2015,38(12):111-115.
[3] 康健,林云,杜浩,等.基于小波熵的BPSK信号码元速率估计算法[J].哈尔滨商业大学学报(自然科学版),2015,31(2):228-231.
[4] 赵知劲,胡俊伟.基于小波系数稀疏性的数字调制样式识别[J].杭州电子科技大学学报,2014,34(2):16-19.
[5] 王铁铸.干扰条件下正弦类Haar小波MPSK信号识别分析[J].现代电子技术,2014,37(23):54-57.
[6] 范真真,朱立忠,张笑宇,等.一种小波变换的数字信号调制方式识别方法研究[J].沈阳理工大学学报,2015,34(3):10-15,23.
[7] 薛伟,钱平.基于小波变换和神经网络模型的数字调制识别方法[J].计算机应用与软件,2012,29(8):210-213.
